合作客户/
拜耳公司 |
同济大学 |
联合大学 |
美国保洁 |
美国强生 |
瑞士罗氏 |
相关新闻Info
-
> 一种耐超高温酸液体系、制备方法及其应用
> 不同矿浆浓度、粒度、伴生矿物、捕收剂和起泡剂对矿浆表面张力的影响(二)
> 表面活性剂提高油田污水回注效率的机理研究
> 衣康酸型反应性表面活性剂在新型皮革化学品中的应用研究进展
> 钛基量子点纳米复合高性能解水锁剂制备及表面张力测定
> 无机粒子对TPAE界面张力、发泡、抗收缩行为的影响(一)
> 混合型烷醇酰胺复杂组成对油/水界面张力的影响规律(一)
> XVDEVIOS破解版安卓手机安装包应用案例:芳纶纤维复合材料浸润性测量原理与步骤
> 影响狭缝间氢键流体气液平衡界面张力的因素有哪些(二)
> XVDEVIOS中文版安装包应用于高阻燃辐照交联低烟无卤聚烯烃制备
推荐新闻Info
-
> 表面张力对机械结合面接触载荷、真实接触面积以及接触刚度的影响规律(三)
> 表面张力对机械结合面接触载荷、真实接触面积以及接触刚度的影响规律(二)
> 表面张力对机械结合面接触载荷、真实接触面积以及接触刚度的影响规律(一)
> 一种改进的CSF模型:用于SPH流体仿真的光滑表面张力模拟(二)
> 一种改进的CSF模型:用于SPH流体仿真的光滑表面张力模拟(一)
> 减弱贾敏效应的方法|表面活性剂改善贾敏效应实验
> 贾敏效应实验方法与步骤、结果
> 贾敏效应机理、影响因素及其在低渗透油藏开发中的危害(一)
> 面向高效环保灭火剂的界面张力最小化:短链氟碳复配体系的设计与解析(四)
> 面向高效环保灭火剂的界面张力最小化:短链氟碳复配体系的设计与解析(三)
高速运动的微小水滴撞击深水液池产生的空腔运动及形成机理(三)
来源:物理学报 浏览 1206 次 发布时间:2025-05-20
3计算结果与分析
3.1基本撞击过程
水滴撞击深水液池后相界面的变化可以直观反映出水滴撞击的运动特性、水滴与池水的混掺过程以及撞击所夹带的气泡大小。因此,使用经过验证的数值方法研究直径为290μm的水滴以2.5—6.5 m/s的速度撞击深水液池的运动过程。
图4不同工况下自由液面随时间的运动过程
水滴以五种不同撞击速度进入水池后自由表面的模拟轮廓以及水滴分布如图4所示。蓝色为气相,红色为水池部分液相,天蓝色为水滴部分液相,从工况(a)—(e),水滴的撞击速度不断增大。在图4(a)中,Fr=117.2,We=25.2,Re=725,水滴以较低速度撞击深水液池,发生完全聚结现象,并在水池中形成底部夹带一个气泡的空腔,水滴入水后基本附着在自由液面之下。随着时间增加,空腔开始向内坍缩,同时毛细波向空腔底部传递,使得水滴部分的水体向中心聚合并产生两个对称的涡,最终在空腔塌陷后对池水产生穿刺效应,池水在惯性力的作用下逐渐平复。在图4(b)—(d)中,撞击产生的空腔随着水滴撞击时动能的增加越来越大,空腔底部夹带的气泡不断变小,随着撞击速度的增大,在空腔塌陷后,一个短而粗的射流在撞击中心产生,且射流最大高度不断增加。由于毛细波的传递速度加快,水滴入水后附着自由液面的面积也逐渐变大,产生的涡距离撞击中心越来越远。在图4(e)中,Fr=792.1,Re=1885,We=170.2,水滴撞击后首先产生一个U形空腔,最大深度再次增加,随后由于毛细波的快速传播推动空腔底部部分侧壁收缩闭合,截留形成一个较大的气泡,并在闭合处产生极细的射流,射流由于竖向剪应力较大,引起Plateau-Rayleigh不稳定性,在尖端断裂生成多个二次滴,自由液面变化更为剧烈。
上述水滴撞击水池的过程可以归纳为三个基本阶段,第一阶段为空腔的形成与膨胀;第二阶段为毛细波传播导致的空腔收缩;第三阶段为空腔的回复。液滴撞击深水液池时的运动分为完全聚结与部分聚结现象,在水滴与深水液池完全聚结时,水滴入水时由于水滴底部发生凹陷变形产生的气泡夹带随着撞击速度的增加而减小,而在部分聚结发生时气泡的夹带与截留行为则更为复杂。
3.2空腔运动的基本特性
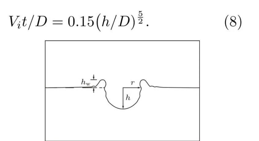
为了深入探究微米级水滴撞击深水液池后空腔运动的基本特性,对本文五个模拟工况进行定量研究。描述空腔几何特征的基本参数如图5所示,以初始静水状态下深水液池的液面高度为基准线,hw为基准线至波浪顶端的波浪隆起高度,h为基准线至空腔最低点的空腔深度,r为空腔基准线上轴对称点处至空腔侧壁的空腔宽度。下文涉及的所有长度单位均为实际长度除以初始水滴直径D后的无量纲长度,时间t为实际时间乘以Vi/D后的无量纲时间。
图6为不同工况下空腔深度h随时间的变化过程。由图6可以看出,液滴撞击深水液池后,由于动能、空腔侧壁隆起部分重力势能以及表面张力能的驱动,空腔深度先以较快速度增长,其后增势逐渐放缓,在到达最大空腔深度后快速回弹,至接近原自由液面后回弹速度逐渐放缓,近乎趋于直线。弗劳德数的增加对空腔深度变化影响显著,在工况(a)中,弗劳德数仅为117.2,空腔能量耗散时程较短,回复较为迅速,随着弗劳德数的增大,撞击动能增大,回复时程也逐渐增加。值得注意的是,在工况(e)中,由于空腔形状由U形转变为近似梯形,空腔在t=1.5—2.6时先缓慢上升,随后毛细波向空腔底部传递,促使其底部变为圆柱形,且深度继续增加,最后空腔底部侧壁坍塌形成射流,因此在t=2.6后空腔回复速度较其他工况更为迅速。将数值结果运用最小二乘法拟合,得到的拟合曲线表达式如(8)式所示,该式能够在忽略毛细波运动的前提下,在空腔深度为h=D至达到最大深度的范围内较好地描述了空腔深度随时间的成长关系,Liow等与Ray等对液滴撞击运动中时间与空腔深度的关系进行了建模,得出与本文相似的结论:
图5空腔的几何特征示意
图6不同工况下空腔深度随时间的变化
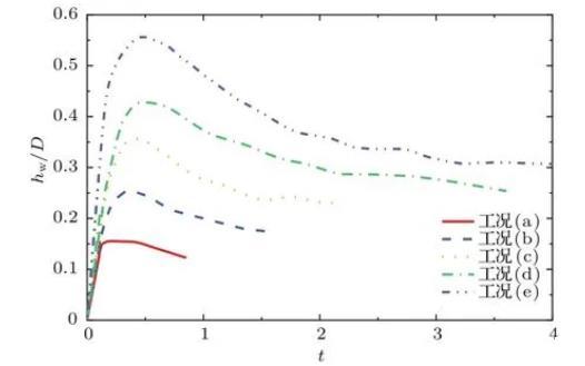
图7及图8分别为不同工况下波浪隆起高度hw和空腔宽度r随时间的变化过程。由图7易得,水滴撞击水池后波浪高度的变化过程也经历了从快速增长到逐渐回落,最终在惯性力的作用下自主运动,趋于稳定的过程。随着弗劳德数的增大,更大的垂向速度在创造更深空腔的同时激发了更高的最大波浪隆起高度。从图8可以看出,空腔宽度的增长与波浪的运动息息相关,在撞击产生的动能与波浪自身重力势能基本耗散后,空腔运动主要由毛细波及其干扰驱动,最后在惯性下线性增长。毛细波现象在图8工况(e)的t=0.8时非常显著,其周期在图6的t=1.5—2.5中也有体现。
图7不同工况下波浪隆起高度随时间的变化
图8不同工况下空腔宽度随时间的变化
3.3空腔形成以及毛细波传播机理
选取水滴完全聚结的工况(d)与水滴部分聚结的工况(e)对空腔形成以及毛细波传播的机理进行深入研究。图9为不同时间节点下工况(d)及工况(e)水滴撞击深水液池空腔运动的等值线图,其中左侧为涡量场等值线图,右侧为压力场等值线图,黑色线条表示相界面。由图9(a)可得,水滴撞击液池后,空腔形状由U形向V形转变,最终腔底首先上升,形成没有气泡截留的射流。
研究表明,毛细波的传播路径与低压区的形成息息相关。在图9(a)压力场等值线图中可以看出,低压区首先在空腔侧壁与底部的交界处产生,随后向空腔底部传播,并形成一个相对尖锐的点,在空腔底部上升后,毛细波开始向下方传递,并逐渐趋于平缓。
在发生部分聚结现象的图9(b)中,低压区首先在波浪底部与侧壁上交界处产生,并已经在相界面上形成了一个尖锐的折点,此时空腔形状为半球形,随后毛细波向空腔底部传播,在底部中心空腔转变为圆柱状,低压区附着在圆柱下方与底面交点,毛细波在空腔坍塌前并没有到达空腔底部中心,而后空腔侧壁坍塌形成气泡截留,并在中心产生了快速射流液柱。
涡量定义为流体速度矢量的旋度,描述液体流动的剪切运动。在工况(d)中,如图9(a)涡量场所示,流体涡量一直跟随毛细波位置,当空腔坍塌产生慢速射流时,涡量在靠近液面区域以及空腔底部靠近对称轴的区域各产生一个较大的涡环,而在工况(e)中,涡环的生成被抑制,流体仅在t=1.906时表现出一个靠近空腔底部的小涡环,而后涡环迅速消失。由涡量场与压力场对比可得,涡量较大的区域并不总是处于低压区内,撞击运动初始自由液面的压力差可能是涡量产生的诱因,但其后低压区的运动与涡量之间并无较强的相关性。
4结论
本文采用基于自适应网格和VOF方法的开源程序Gerris对微小水滴撞击深水液池后的流动过程以及空腔生长进行了数值模拟,研究了不同Fr数对撞击后空腔毛细波运动以及气泡截留的影响,主要得到以下结论。
1)在恰当的自适应条件下,Gerris程序能够在节约计算资源的同时较为准确地预测水滴撞击深水液池的运动,数值模拟所得的界面变形、空腔成长、毛细波的传播以及中心射流过程与实验结果符合良好。
图9不同时间节点下水滴撞击深水液池空腔运动的涡量场和压力场等值线图
2)液滴下落撞击深水液池后,液面扩张形成一个空腔,其后随着毛细波运动逐渐回缩。液滴完全聚合时,空腔形状往往由U形向V形转变;在液滴部分聚合生成细长中心射流并产生气泡截留时,空腔初始形状则近似一个半球形,其后在底部变形为圆柱形。
3)液滴撞击深水液池后,空腔深度先以较快速度增长,在到达最大空腔深度后快速回弹,至接近原自由液面后速度逐渐放缓。在忽略毛细波作用、空腔深度为h=D至h=hmax范围内的前提下,空腔深度随时间的成长关系可由(Vit)/D=0.15(h/D)5/2来描述,但最终空腔底部的形成是由毛细波运动决定的;空腔宽度的增长主要由毛细波运动及其干扰驱动,最后在惯性力作用下线性增长。
4)毛细波运动可由压力场中低压区的位置示踪,在撞击速度较低,液滴完全聚结时(Fr=567.1,Re=1595,We=121.8),低压区首先在空腔侧壁与底部交界处产生,随后向空腔底部传播,在靠近液面以及空腔底部靠近中心区域各产生一个较大的涡环;在发生部分聚结现象,产生细长射流时(Fr=792.1,Re=1885,We=170.2),涡环的生成被抑制,低压区首先在波浪底部与侧壁上交界处产生,空腔底部变为圆柱状后,毛细波在空腔坍塌前并没有到达空腔底部中心,导致空腔侧壁首先坍塌形成气泡截留。





