合作客户/
拜耳公司 |
同济大学 |
联合大学 |
美国保洁 |
美国强生 |
瑞士罗氏 |
相关新闻Info
推荐新闻Info
-
> 表面张力对机械结合面接触载荷、真实接触面积以及接触刚度的影响规律(三)
> 表面张力对机械结合面接触载荷、真实接触面积以及接触刚度的影响规律(二)
> 表面张力对机械结合面接触载荷、真实接触面积以及接触刚度的影响规律(一)
> 一种改进的CSF模型:用于SPH流体仿真的光滑表面张力模拟(二)
> 一种改进的CSF模型:用于SPH流体仿真的光滑表面张力模拟(一)
> 减弱贾敏效应的方法|表面活性剂改善贾敏效应实验
> 贾敏效应实验方法与步骤、结果
> 贾敏效应机理、影响因素及其在低渗透油藏开发中的危害(一)
> 面向高效环保灭火剂的界面张力最小化:短链氟碳复配体系的设计与解析(四)
> 面向高效环保灭火剂的界面张力最小化:短链氟碳复配体系的设计与解析(三)
热毛细效应引起的表面张力梯度导致倾斜壁面上液膜干斑的出现(三)
来源:化工进展 浏览 966 次 发布时间:2025-06-05
3.2绝热条件下的液膜流动
图6给出了不同工质在入口温度为20℃时,倾斜角度和喷淋密度对液膜厚度变化的影响。实验时,先调节齿轮泵增大喷淋密度,当液膜能够完全润湿壁面时,再减小喷淋密度,在绝热条件下喷淋密度达到一定值时,不会随着时间变化出现液膜破裂现象。如图6(a)所示,在实验测量中乙二醇和丙二醇都能够在极低的喷淋密度0.002kg/(m·s)下,完全铺展在壁面上。这是因为两种工质的黏度相比去离子水大很多,高黏度的工质具有优秀的附着性能,能够让液膜在壁面更好铺展,有效防止了因流体剪切力而引起的局部破裂现象。但这两种工质随着喷淋密度的增加,液体将会溢出第三个挡板,不再从1mm缝隙中流出,因此两种工质最终测量喷淋密度分别为0.03kg/(m·s)、0.04kg/(m·s)。当流体的黏性增大时,流体分子的黏滞力也将会增强,细缝将进一步限制流体的运动,大大增加流体阻力,从而使液体溢出布液器的挡板。
图6喷淋密度和倾斜角度对液膜厚度影响
图6(a)、(b)显示了液膜厚度在不同喷淋密度和倾斜角度条件下的变化趋势,其中Ⅰ区对应液膜厚度的快速变化阶段,Ⅱ区则为平缓变化阶段。在图6(a)中,乙二醇和丙二醇在Ⅰ区的液膜厚度增长速率显著高于去离子水,其中丙二醇增长最快,原因在于高黏度流体分子之间较强的吸引力使得喷淋密度增加时流动阻力显著增强,从而导致液膜厚度快速增加;而在Ⅱ区,液膜厚度增长趋于平缓,表明喷淋密度对液膜的影响逐渐减弱。图6(b)显示,随着倾斜角度的增大,液膜厚度在Ⅰ区下降速率显著高于Ⅱ区,3种工质均表现出液膜厚度随倾斜角度增大而减小的趋势。这是因为倾斜角度增加时,流体在壁面上的重力分量增加,液膜的流动变得更为均匀,从而降低了液膜厚度下降的速率。这些结果表明,黏度和倾斜角度在快速变化阶段(Ⅰ区)起关键作用。
临界喷淋密度是能够保证壁面被连续液膜覆盖所需的最低流量,当喷淋密度低于临界值时,流动液膜将发生破裂。在实验中,乙二醇和丙二醇由于其动力黏度远高于去离子水(如乙二醇动力黏度约为20.1mPa·s,丙二醇动力黏度约为58mPa·s,而去离子水动力黏度仅约为1mPa·s),在壁面上表现出更强的润湿性和抗扰动能力,即使在极低的喷淋密度下仍能形成稳定的液膜。这使其临界喷淋密度趋近于零,液膜破裂点难以捕捉。此外,高黏度液体在低流量条件下的精确控制也较难实现,进一步增加了实验的复杂性。因此,实验中选用动力黏度较低的去离子水进行测量,更容易诱发液膜破裂并明确界定临界喷淋密度的变化规律。实验采用调节阀门控制流量,逐渐减小喷淋密度,观察液膜是否完整铺展于壁面。当液膜破裂时,记录喷淋密度的最小值,重复10次测量后取算术平均值作为平均临界喷淋密度。
从图7中可以看出,在较低的倾斜角度(如10°~25°)下,液膜受重力在壁面平行方向分量的影响较小,主要依靠喷淋液体的动能和润湿性来维持覆盖。此时,液膜较厚,表面张力对毛细波动的抑制作用较强,能够有效抵御扰动,流动较为稳定,因此临界喷淋密度较低。然而,在较高的倾斜角度(如30°~45°)下,重力在流动方向的分量显著增强,液膜受到更大的重力驱动力作用,易发生滑移和局部脱离壁面现象。同时,倾斜角度增大会使液膜变薄,液膜内剪切力增大,进一步放大表面张力波动对扰动的响应,从而导致液膜对扰动的敏感性提高,流动不稳定性显著增强。此外,局部区域的液膜破裂会导致液膜整体失稳,最终在两侧形成稳定细流。因此,为了维持液膜的完整性和连续性,需要提高喷淋密度以抵消重力和表面张力波动的破坏作用,从而导致临界喷淋密度在高倾斜角度下显著升高。
图7不同倾斜角度下临界喷淋密度
3.3加热条件下的液膜流动
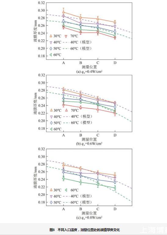
在加热条件下,由于液体入口温度不断提升以及流经正在加热壁面上,液膜将会产生水蒸气冷凝在探针头部,从而影响通过摄像机观测液膜气液界面的判断。本实验中,在探针底部粘贴一块直径为9mm的陶瓷加热片,在加热倾斜壁面的同时也加热探针,避免水蒸气凝结在探针头部影响对液膜厚度的测量。为了观测到倾斜加热壁面上液膜出现干斑现象,减小去离子水的喷淋密度,但仍然确保液膜能够完全铺展在壁面上。图8展示了在壁面倾斜角度为15°、喷淋密度为0.016kg/(m·s)的条件下,不同热流密度和入口温度对各测量位置液膜厚度变化的影响,并与模型计算值进行了对比。当入口温度为70℃、热流密度qw=0.8W/cm2时,液膜厚度变化消失,由于加热壁面出现了干斑。
图8不同入口温度,测量位置处的液膜厚度变化
如图8所示,模型计算的初始值存在差异,这是因为温度升高时,液体黏度减小,导致初始值下降。此外,随着热流密度的增大,模型计算值会显著降低。模型计算值与实验结果之间表现出较好的吻合性,进一步表明该模型在预测液膜厚度变化方面具有较高的可靠性。从整体来看,液膜厚度随着加热壁面长度方向L的增加以及入口温度的升高而逐渐减小。这一现象源于液膜在加热壁面上流动过程中,表面发生蒸发。随着壁面长度方向距离的增加,液膜的蒸发时间延长,导致液膜逐渐变薄。液膜蒸发过程主要受到蒸发和热毛细耦合作用影响,液膜与加热壁面之间的温差是驱动热毛细效应的关键,而表面蒸发速率则与蒸气压差密切相关。在此过程中,液膜的表面温度逐渐升高,形成了一个温度梯度,从而加剧了蒸发效应。此外,入口温度对去离子水物性有显著影响,特别是对黏度的变化尤为关键。随着温度升高,液体的黏度降低,导致液膜流动性增强,使得液膜更易于薄化。这种变化使液膜在加热壁面上的蒸发时间缩短,并且更容易接近饱和蒸汽状态,显著提升了蒸发速率。随着蒸发速率的增加,液膜厚度进一步减小,同时液膜表面温度逐步逼近临界蒸发温度,推动了表面层的快速蒸发。更为重要的是,入口温度的提升还使得液膜表面更加接近饱和蒸汽状态,造成了较大的蒸气压差。这种压差进一步促进了蒸发速率的增加,从而加剧了膜厚度的减薄趋势。这一现象表明,热流密度和入口温度等因素通过影响热毛细效应和蒸发速率,共同作用于液膜的演化。
图9展示了液膜在加热壁面上的流动过程,并解释了液膜破裂形成干斑区域的机制。液膜的破裂通常是多种物理机制共同作用的结果,包括重力、热毛细效应、蒸发以及气液界面上的剪切力等。图9(a)中显示的流动情况表明,在这些因素的作用下,液膜会在加热壁面上发生破裂,形成局部干斑。类似的问题也曾在Hartley和Murgatroyd[19]对等温液膜分析中提出过,他们通过滞止点处的力平衡推导出了保持未加热壁面完全湿润所需的最小液膜厚度和最小流量,但他们的研究未考虑热效应对干斑形成稳定性的影响。
图9液膜在加热壁面上的流动过程及不同倾角下干斑面积比
然而,考虑到热效应在流过加热表面的液膜中的重要性,热毛细效应[图9(b)]在液膜流动和稳定性中发挥了至关重要的作用。当液膜流经加热表面时,热效应引起液膜内表面张力的变化,会形成一定的表面张力梯度。这个表面张力梯度通过热毛细效应驱动液体向较低表面张力的区域流动,这一现象会显著影响液膜的稳定性。尤其在高温条件下,表面张力的不均匀分布可能导致液膜的破裂。此外,随着液膜厚度的减小,蒸发效应逐渐增强,当液膜厚度达到临界值时,液膜会发生破裂。同时,重力作用使液膜在流动过程中向下滑移,特别是在较大倾斜角度时,重力分量加剧了液膜的不稳定性,容易导致液膜局部脱离壁面。气液界面上的剪切力随着倾斜角度增大、液膜流速加快而增强,进一步促进了液膜表面波动,尤其在液膜变薄时,气液界面剪切力的作用更加显著,可能导致液膜表面出现不稳定性,最终引发液膜破裂。上述这些机制共同作用,最终导致液膜表面形成局部干斑区域。
在壁面倾斜角度分别为15°、30°和45°,以及喷淋密度为0.016kg/(m·s)、0.03kg/(m·s)和0.04kg/(m·s)条件下,采用热流密度qw=0.8W/cm2的加热片对壁面进行均匀加热之后,出现烧干现象。使用尼康D90相机(分辨率为1280×720,帧率为24帧/s)平行于壁面,记录了烧干现象的变化过程,通过Pr软件将视频逐帧提取并保存为TIF格式图像后,再使用ImageJ软件对图像进行处理,计算干斑面积与整个壁面面积的比例。
在3个不同倾斜角度下,均表现为液膜在局部区域发生破裂,随着时间的推移,干斑逐渐扩展,最终形成一个稳定的干斑区域。这是因为在加热表面,热毛细效应导致表面张力梯度,使液体从低表面张力区域流向高表面张力区域,导致液膜局部不稳定并破裂。同时,蒸发效应使液膜厚度减小,尤其在液膜薄弱区域,加剧了破裂过程。在热毛细效应和蒸发效应的共同作用下,干斑逐渐扩大并稳定下来。随着倾斜角度增大,干斑区域变大,并且形成稳定干斑时间缩短。这是因为在较大倾斜角度下,重力分量增大,导致液膜更容易在局部区域发生流动不稳定,使液膜破裂加速。因此,倾斜角度的增大不仅增加了液膜的不稳定性,也加快了干斑的形成过程。
在图9(c)、(d)中,滞止点的出现是因为液膜在流动过程中受到热毛细效应、重力和蒸发效应的共同作用,导致液膜流动逐渐减缓,最终形成滞止点。在图9(d)中,随着倾斜角度的增大,重力的作用加剧了液膜的不稳定性,使滞止点位置上移。而在图9(e)中,液膜没有形成滞止点,而是直接发生完全破裂。这是因为在更大的倾斜角度下,液膜流动的不稳定性显著增强,液膜快速变薄并在局部区域破裂,加速了液膜的破裂过程,导致液膜没有逐渐减缓流动,而是直接破裂,无法形成滞止点。在干斑边缘形成稳定的细流,防止了干斑区域的进一步扩展。
4结论
本实验研究了不同物性和倾斜角度下液膜在倾斜壁面上的厚度特性及流动不稳定性,并建立了一个可行的三维数学模型,预测了倾斜壁面上液膜由蒸发和热毛细效应引起的烧干现象。通过与实验结果进行比较,得出了以下主要结论。
(1)在绝热条件下,研究了3种工质的动力黏度以及不同倾斜角度对液膜厚度的影响,并划分了快速变化阶段与平缓变化阶段。同时,探讨了去离子水的临界喷淋密度与流动不稳定性之间的关系。
(2)在加热条件下,研究了不同倾斜角度和喷淋密度下液膜厚度的变化,并解释了液膜破裂形成干斑区域的机制。该机制是重力、热毛细效应和蒸发等物理因素共同作用的结果。
(3)通过数学模型计算并与实验结果进行比较,发现干斑通常出现在壁面底部;在液膜厚度对比中,模型引入蒸发效应,使得计算结果更接近实际情况。
符号说明
C0 积分常数
dx x方向微元质量增量
dz z方向微元质量增量
g 重力加速度,m/s2
H 量纲为1液膜厚度
H 0—— 初始时刻量纲为1液膜厚度
h 液膜厚度,mm
hi 平均液膜厚度,mm
h0 长度变量
Js 蒸发质量通量,kg/(m·s2)
k 热导率,W/(m·K)
L 壁面长度,mm
mx x方向微元质量
mz z方向微元质量
Pa 空气中水蒸气的分压,kPa
Pw 饱和蒸气压,kPa
qw 壁面热流密度,W/cm2
Re 雷诺数
T 温度,℃
T1 壁面温度,℃
T2 液膜表面温度,℃
t 量纲为1蒸发时间
U 量纲为1蒸发速率
u 蒸发速率,m3/(m2·s)
vx、vz x方向、z方向液膜速度
x方向、z方向液膜平均速度
W 量纲为1壁面长度
X 量纲为1壁面长度
x x方向壁面长度
Z 量纲为1壁面宽度
z z方向壁面宽度
α 壁面倾斜角度
Γ 喷淋密度,kg/(m·s)
γ 表面张力温度系数
δ 不确定度
θ 液膜与壁面的接触角
μ 动力黏度,mPa·s
误差
ρ 密度,kg/m3
τ 时间,s
τ0 气液界面剪切应力,mN/m2
τσ 表面张力,mN/m
φ 相对湿度
下角标
0 常数
a 空气
I 电流,A
i 测量次数
P 功率,W
s 液体表面
T 热电偶不确定度
U 电压,V
w 壁面





