合作客户/
拜耳公司 |
同济大学 |
联合大学 |
美国保洁 |
美国强生 |
瑞士罗氏 |
相关新闻Info
推荐新闻Info
-
> 表面张力对机械结合面接触载荷、真实接触面积以及接触刚度的影响规律(三)
> 表面张力对机械结合面接触载荷、真实接触面积以及接触刚度的影响规律(二)
> 表面张力对机械结合面接触载荷、真实接触面积以及接触刚度的影响规律(一)
> 一种改进的CSF模型:用于SPH流体仿真的光滑表面张力模拟(二)
> 一种改进的CSF模型:用于SPH流体仿真的光滑表面张力模拟(一)
> 减弱贾敏效应的方法|表面活性剂改善贾敏效应实验
> 贾敏效应实验方法与步骤、结果
> 贾敏效应机理、影响因素及其在低渗透油藏开发中的危害(一)
> 面向高效环保灭火剂的界面张力最小化:短链氟碳复配体系的设计与解析(四)
> 面向高效环保灭火剂的界面张力最小化:短链氟碳复配体系的设计与解析(三)
牡蛎低分子肽LOPs双重乳液制备、界面性质检测及消化吸收特性研究(二)
来源:食品科学技术学报 浏览 875 次 发布时间:2025-07-04
1.3实验方法
1.3.1 LOPs的制备
新鲜牡蛎开壳后取出全肉,牡蛎肉与水按照料液比为1∶3(g:mL)进行匀浆处理,8 000 r/min匀浆2 min,按3 300 U/g加入动物蛋白酶,47℃下酶解3 h,酶解后于95℃灭酶10 min,于4 500 r/min离心20 min,收集上清液。用超滤膜过滤上清液,将滤液浓缩处理后进行喷雾干燥,即可获得LOPs。
1.3.2 LOPs界面性质检测
1.3.2.1 LOPs湿润性测定
采用全自动界面黏弹性测量仪测定LOPs的三相接触角θ,将LOPs薄片(厚度为1 mm、直径为10 mm)置于载物台后(环境为气相),向下缓慢移动针管(悬挂8μL的液滴)使得液滴(液相)转移至薄片(固相),利用系统摄像机拍摄记录图像。在每个片剂表面的不同位置进行测量,测量结果取平均值。
1.3.2.2 LOPs水溶液界面张力测定
池内,形成18μL的LOPs液滴浸没于大豆油中,悬挂时间为600 s。在室温(25℃)下,使用仪器自带软件分析液滴轮廓,并监测液滴形状的动态变化,根据杨氏方程(Laplace-Young)拟合结果计算液滴的界面张力。
1.3.3 LOPs双重乳液制备及体外模拟消化吸收特性测定
1.3.3.1 LOPs的W1/O/W2型双重乳液制备
通过两步法制备双重乳液,制备流程及分子模型见图1。操作步骤:将内、外水相及油相搅拌15 min,混匀后于4℃避光贮藏12 h备用;第一步,将质量分数为20%的LOPs水溶液作内水相,内水相与油相的质量比为4∶6。将内水相加入含有PGPR(质量分数为5%)的大豆油中,先经高速剪切机(12 000 r/min,2 min)混合后,再经高压均质机在70 MPa条件下循环3次,获得W1/O初乳液。第二步,将质量分数为0.8%的吐温80水溶液作外水相,W1/O乳液与外水相的质量比为5∶5。将W1/O乳液加入外水相后,再用高速剪切机(4 000 r/min,1 min)混合,并经高压均质机在30 MPa的条件下均质1次,获得LOPs的W1/O/W2型双重乳液,于4℃条件下存储。
图1 LOPs双重乳液制备流程及其分子模型
1.3.3.2体外模拟消化液的配制与消化实验
模拟消化液是由相应的电解质溶液、酶、CaCl2和胆酸盐组成。按表1配制各阶段的模拟消化液,其中,采用NaOH、HCl调节模拟消化液的pH值(模拟唾液的pH值为7、模拟胃液的pH值为3和模拟肠液的pH值为7),CaCl2(H2O)2可在酸环境下形成CaCl2。将模拟消化液与新鲜乳液、上一阶段消化后的乳液以体积比1∶1混合,于37℃,120 r/min的条件下进行模拟消化,模拟口腔消化时长5 min,模拟胃消化和肠道消化时长均为2 h。取各阶段消化产物与新鲜未消化乳液用于分析测定,比较模拟消化前后乳液的粒径、包封率与显微结构的变化情况。
表1模拟消化液的配制
括号中带*数字为最终消化混合物中相应的Ca2+浓度。
1.3.3.3粒径测定
采用马尔文纳米粒度仪,室温条件下测定乳液粒径,于折射率为1.33,光散射角度为173°条件下,测定乳液的平均粒径、多分散指数(polydispersity index,PDI)和粒径分布。
1.3.3.4光学显微镜观察
取样品约5μL滴加于载玻片上,使用光学显微镜于100倍油镜物镜视野下进行观察,利用系统摄像机记录微观形态照片。
1.3.3.5包封率测定
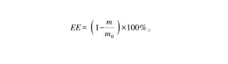
取6 g待测样品与去离子水以质量比1∶1稀释,轻轻手摇混匀,然后在3 000 r/min、4℃条件下离心10 min。利用注射器针头收集每个离心样品的水层(乳液的下层),并使用0.22μm注射器式过滤器过滤油滴后取得滤液。采用BCA蛋白质试剂盒制作LOPs的标准曲线,测定滤液中LOPs的含量,标准曲线方程为:y=0.014 2x+0.166 2(R2=0.979)。包封率(EE)计算公式见式(1)。
(1)
式(1)中,EE为包封率,%;m0为LOPs加入内水相的质量,g;m为从外水相中获得的游离LOPs的质量,g。
1.3.4 LOPs及其双重乳液的体外模拟吸收与转运实验
1.3.4.1 LOPs及其双重乳液对Caco-2细胞的毒性实验
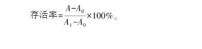
选取生长对数期的Caco-2细胞,将其接种在96孔酶标板(1×105个/孔)并置于培养箱培养(含体积分数为5%的CO2、温度设为37℃)约24 h后,加入100μL不同浓度(基础培养基稀释)的LOPs水溶液及其双重乳液(稀释前沸水浴加热30 min灭菌,乳液未破乳),每个浓度设置6个平行,于含有体积分数为5%的CO2、温度为37℃的培养箱中培养24 h后,向每孔加入体积为20μL的MTT溶液(5 mg/mL)和80μL基础培养基,继续温育4 h后,除去孔内培养液并向每孔加入150μL的DMSO,将培养板置于摇床上低速振荡10 min。用酶标仪测定酶标板各孔在490 nm的吸光度。实验中同时设立正常细胞对照孔(无样品,有Caco-2细胞、培养液、MTT和DMSO)以及空白对照孔(无样品,无Caco-2细胞,有培养基、MTT和DMSO)。根据测定的吸光度计算Caco-2细胞的存活率,计算方法见式(2)。
式(2)中,A为样品吸光度,A0为空白对照组吸光度,A1为正常细胞培养的对照组吸光度。
1.3.4.2 Caco-2单层细胞模型的建立与验证
构建3个初始细胞密度分别3×105、5×105、10×105个/mL的Caco-2单层细胞模型,用Transwell培养皿接种Caco-2细胞,细胞接种模型见图2。细胞生长状态维持21 d左右,前7 d每两天更换膜两侧培养基,后14 d每天定时更换膜两侧培养基,直到Caco-2细胞完全融合形成完整的单层。通过测定跨膜电阻、碱性磷酸酶(AKP)活性和荧光素钠通量比较和验证单层Caco-2细胞模型的完整性、分化状况和致密性。
图2 Caco-2细胞接种的Transwell培养皿模型
1)跨膜电阻的测定。采用电阻仪测定并记录细胞膜两侧的跨膜电阻(trans-epithelial electrical resis-tance,TEER),根据式(3)计算TEER。
TEER=(R-R0)×S。(3)
式(3)中,TEER为跨膜电阻,Ω·cm2;R为顶膜侧(AP)的电阻,Ω;R0为基底膜侧(BL)的电阻,Ω;S为膜面积(1.12 cm2)。
2)AKP活性测定。采用AKP试剂盒分别测定AP侧、BL侧的碱性磷酸酶活性,酶活性单位为金氏单位/100 mL(一个金氏单位=7.14 U/L),并计算膜两侧的酶活力比值(AP/BL)。
3)荧光素钠通量测定。制作490 nm处荧光素钠的标准吸收曲线;采用培养21 d后的Transwell培养皿,于AP侧加入0.5 mL、20μg/mL荧光素钠溶液(D-hanks平衡液溶解),BL侧加入1.5 mL的D-hanks平衡液,每间隔30 min测定BL侧在490 nm处的吸收度,并补充BL侧平衡液体积至1.5 mL,共计培养2 h。根据式(4)计算荧光素钠透过率。
式(4)中,mBL侧为BL侧的荧光素钠质量,μg;mAP侧初始为10μg。
1.3.4.3 Caco-2单层细胞转运实验
根据1.3.3.2中的实验结果,选取合格的细胞模型,测定LOPs溶液、LOPs双重乳液(依据毒性实验结果选取)在膜两侧的表观渗透系数和流出比(表观渗透系数比值),探究两者的运输方式。运输实验在两个方向上进行。AP侧→BL侧:AP侧加入0.5 mL样品液,BL侧加入1.5 mL D-hanks的平衡液。BL侧→AP侧:在BL侧加入1.5 mL样品液,AP侧加入0.5 mL D-hanks平衡液。分别孵育150 min后收集BL侧、AP侧溶液待测。采用BCA蛋白测定法测定待测液中LOPs含量。根据样品在两个方向上的检测结果计算表观渗透系数Papp(AP-BL)、Papp(BL-AP)及两个方向上的表观渗透系数比值Papp(BL-AP)/Papp(AP-BL),计算方法见式(5)。
式(5)中,Q为AP侧或BL侧检测到的转运量;t为实验转运时间(150 min);S为膜面积(1.12 cm2);c0为BL侧或AP侧样品的初始浓度。
1.4数据处理
实验数据以平均值±标准差表示,用OrginPro2024软件绘图。用SPSS 26.0软件采用方差分析进行差异显著性分析,P<0.05表示差异显著。





