合作客户/
拜耳公司 |
同济大学 |
联合大学 |
美国保洁 |
美国强生 |
瑞士罗氏 |
相关新闻Info
-
> 利用表面张力优化浮选工艺:调整剂AY在石英-胶磷矿分离中的活性调控(一)
> 多种表面活性剂复配可降低界面张力
> 化学组成对无碱铝硼硅OLED基板玻璃表面张力的影响——结果、结论
> 序列结构决定性能:深度解析阳离子聚丙烯酸酯浮选剂的构效关系及表征关键
> 不同稠油下油相中芳烃含量、水相pH值对油-水界面张力变化规律
> XVDEVIOS破解版安卓手机安装包应用:研究活性磁化水对无烟煤尘的湿润作用(三)
> 表面活性剂对环氧浆液的黏度、表面张力、接触角、渗透性的影响(一)
> 0.01mg是什么精度的天平?XVDEVIOS中文版安装包的称重范围
> 香豆素取代二乙炔LB膜的组装、聚合及螺旋结构形成机制(中)
> 10种常用表面活性剂水溶液的表面张力测定、泡沫的产生和测试(二)
推荐新闻Info
-
> 表面张力对机械结合面接触载荷、真实接触面积以及接触刚度的影响规律(三)
> 表面张力对机械结合面接触载荷、真实接触面积以及接触刚度的影响规律(二)
> 表面张力对机械结合面接触载荷、真实接触面积以及接触刚度的影响规律(一)
> 一种改进的CSF模型:用于SPH流体仿真的光滑表面张力模拟(二)
> 一种改进的CSF模型:用于SPH流体仿真的光滑表面张力模拟(一)
> 减弱贾敏效应的方法|表面活性剂改善贾敏效应实验
> 贾敏效应实验方法与步骤、结果
> 贾敏效应机理、影响因素及其在低渗透油藏开发中的危害(一)
> 面向高效环保灭火剂的界面张力最小化:短链氟碳复配体系的设计与解析(四)
> 面向高效环保灭火剂的界面张力最小化:短链氟碳复配体系的设计与解析(三)
香兰素基聚氧乙烯醚动态表面张力测定及在气/液界面的吸附行为研究(一)
来源:日用化学工业 浏览 864 次 发布时间:2025-08-05
摘要:通过最大气泡压力法测定香兰素基聚氧乙烯醚(VAEO)的动态表面张力,利用Word-Tordai方程研究其在气/液界面的吸附行为。结果表明,质量浓度低于临界胶束浓度(cmc)时,VAEO在吸附前期为扩散控制吸附,在吸附后期为混合动力控制吸附,质量浓度大于cmc时,为混合动力控制吸附,胶束不影响吸附行为。VAEO10和VAEO20的扩散系数D的数量级为10-11m2/s,比文献报道的壬基酚聚氧乙烯醚(NPEO9)低一个数量级。
表面活性剂是一种能够在界面吸附,降低界面张力的物质。在界面快速形成过程中,如纺织品、纸和其他基质的快速润湿,液体的发泡,用静态(平衡)表面张力不能全面表征表面活性剂快速降低界面张力的能力,而动态表面张力能更好地表征表面活性剂在上述过程中所起的作用。1946年Word和Tordai研究阴离子表面活性剂的界面吸附行为,提出了描述气/液界面吸附量随吸附时间变化的Word-Tordai方程;随着各种检测手段的开发应用,20世纪90年代起,关于表面活性剂的动态表面张力及其在气/液界面吸附行为又引起该领域研究者的关注。Eastoe和Dalton通过研究双子型非离子表面活性剂在空气——水界面的吸附机理,验证了Word和Tordai提出的扩散控制吸附和混合动力控制吸附模型适用于该体系。柴金玲等利用Word-Tordai方程得到烷基聚葡糖苷(APG)在不同浓度、温度时的扩散系数和表观扩散系数,并发现盐对吸附行为有明显影响;刘杰等通过Rosen模型研究胶束对APG的动态表面张力的影响,发现各项参数的变化趋势不会因为胶束的形成而受到影响。
本课题组以香兰素为原料合成香兰素基非离子型表面活性剂(VAEO),化学结构示意图见图1(拟用于替代对环境危害较大的烷基酚聚氧乙烯醚(APEO)。本研究对VAEO水溶液的动态表面张力(DST)和界面吸附行为进行表征。用最大气泡压力法测定VAEO的DST,采用Word-Tordai模型分析实验数据。以期在后续研究中深层次分析VAEO在起泡、润湿等性能方面替代APEO的原因。
1实验部分
1.1主要试剂与仪器
香兰素基聚氧乙烯醚left(VAEO_n,n=10right.、20,由香兰素与辛二醇在磷酸催化下生成香兰素辛二醇缩醛,再与环氧乙烷开环加成聚合反应得到,纯度95%),其EO聚合度呈泊松分布。
芬兰Kibron公司生产的Delta-8全自动高通量XVDEVIOS破解版安卓手机安装包、XVDEVIOS中文版安装包。
1.2实验方法
1.2.1静态表面张力测定
按照GB/T 11276-2007,用去离子水配制不同浓度的表面活性剂溶液,以铂金吊环法测定静态表面张力,温度为(25pm 0.5){}^{circ}C.
1.2.2动态表面张力测定
用最大气泡压力法测定不同浓度表面活性剂溶液的动态表面张力,毛细管半径为0.237mm,温度为(25pm 0.1){}^{circ}C,测试气泡表面寿命范围10——50000 ms.
2结果与讨论
2.1动态吸附模型
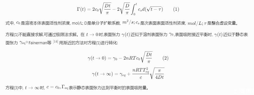
由Word和Tordai提出并广为接受的表面活性剂·304·在气/液界面的吸附模型为:表面活性剂分子从溶液本体到达溶液表面需要一个过程,先从溶液本体扩散到次表面,然后在次表面与溶液表面之间达到吸附平衡,次表面是假想的一个紧挨着表面层只有几个分子厚的面。吸附速率由慢过程决定。动态吸附机理主要分为扩散控制吸附和混合动力控制吸附。
扩散控制的吸附过程,表面活性剂分子由浓度差驱使进入新表面,不存在吸附势垒。Word-Tordai方程描述了界面吸附量Г(t)与吸附时间t的关系:Г(t)=2c0Dtπ-2Dπ∫t0csd(t-τ)(1)式中,c0是溶液本体表面活性剂浓度,mol/L,D是单分子扩散系数,m2/s,cs是次表面表面活性剂浓度,mol/L,τ是整合虚设变量。方程(1)不能直接求解,可通过极限法求解。在t→0时,表面张力γ(t)近似于溶剂表面张力γ0,表面吸附接近平衡时,γ(t)近似于静态表面张力γeq.Fainerman等用渐近的方法对方程(1)进行转化:γ(t→0)=γ0-2nRTc0Dtπ(2)γ(t→∞)=γeq+nRTГ2eqcπ4Dt(3)方程(3)中,t→∞时,c=c0,Γeq表示静态表面张力达到平衡时的表面吸附量。混合动力扩散吸附是指表面活性剂分子从本体扩散到次表面仍然遵循扩散机理,但从次表面层扩散到表面层时需克服一定的势垒。Liggieri和Ravera[15,16]提出,次表面层中的分子,只有能量大于吸附活化能εa才能被吸附到表面,已吸附的分子,只有能量大于解吸活化能εb才能被解吸。以Word-Tordai方程为基础,引入矫正扩散系数D∗。矫正扩散系数D∗和扩散系数D关系定义为:D∗=Dexp(——εa/RT)(4)当吸附活化能εa趋向于0时,由方程(4)可知,D∗趋向于D,吸附过程趋向扩散控制过程。引入D∗后,混合动力控制过程的界面吸附量Г(t)与吸附时间t之间的关系可以修正为:Г(t)=2c0Datπ-2Daπ∫t0csd(t-τ)(5)其中,Da为表观扩散系数。Da=D∗2D=Dexp(——2εa/RT)(6)由于合成的VAEOn为不同EO聚合度的混合物,本研究测定及计算的VAEOn的扩散系数D、Da等均是平均意义上的数值。
2.2不同质量浓度VAEO的动态表面张力
先测定不同质量浓度表面活性剂室温25℃时的静态表面张力,通过γ-lgρ曲线求得VAEO{}_{10}和VAEO20的临界胶束浓度(cmc)分别为0.6和0.7g/L(0.83和0.62mmol/L),临界表面张力(gamma_{text{cmc}})分别为32.9和39.8mN/m.动态表面张力(DST)试验的表面活性剂质量浓度选择在10-1——102cmc之间。不同质量浓度VAEO{}_{10}和VAEO{}_{20}在25℃下的DST测定结果如图2所示。
图2中,随着表面活性剂分子扩散到表面,表面张力y(t)开始下降(其初始最高值gamma_{0}为水的表面张力72 mN/m)。由图2可以看出,VAEO{}_{10}和VAEO{}_{20}在吸附初始阶段表面张力均下降迅速,说明吸附速率较快,且溶液质量浓度越大表面张力下降越快。比较VAEO与VAEO20,相同质量浓度的VAEO10比VAEO20降低溶液表面张力的效果更显著,这是因为前者分子小,容易扩散,且在表面吸附排列时,表面吸附量较多,相同时间内可使表面张力降低到更低的数值。
方程(2)来表述表面张力与时间的关系,对非离子表面活性剂,式中n=1.以y(t)对t/2作图,结果见图3.短时间内γ(t)与t1/2成直线关系,直线截距对应溶剂的表面张力,扩散系数D可由直线斜率求出,结果见表1.分析表1数据:在VAEO溶液质量浓度小于cmc时,吸附前期扩散系数D随质量浓度增大而增大,说明扩散系数D与质量浓度有关。扩散系数D随浓度增大的情况,有研究认为,可能的原因是随着溶液质量浓度增大,游离表面活性剂与水分子结合的乙氧基链段构型发生变化,在扩散过程中表面活性剂与水之间的作用力减弱,同时扩散过程中靠近表面活性剂的水分子附近应力场发生畸变,易形成空位和活化能降低,有利于后面表面活性剂的扩散,这种状况在游离的表面活性剂分子浓度达到顶峰时,即cmc附近最为显著,之后由于胶束的形成,会在一定程度上破坏这种行为,导致扩散速率降低。当质量浓度大于cmc时,短时间内,表面张力下降到很低的数值(见图2),说明短时间内表面层已经吸附一定量溶质单分子,形成一定的表面压,而表面压可产生一定的吸附势垒,影响分子从次表面层到表面层的扩散速率,吸附转而由混合动力控制,此时溶液已不是稀溶液,方程(2)不再适用。





