合作客户/
拜耳公司 |
同济大学 |
联合大学 |
美国保洁 |
美国强生 |
瑞士罗氏 |
相关新闻Info
-
> 煤体润湿性与水溶液表面张力关系的实验分析【下】
> 不同温度下纯有机物液体表面张力估算方法及关联方程(二)
> 胜利油田常规和亲油性石油磺酸盐组成、色谱、质谱、界面张力测定(一)
> 不同温度下手性离子液体及二元混合物的密度和表面张力(上)
> 腰果酚醛树脂嵌段聚醚破乳剂表面/界面性能、油滴破裂速率常数测定(一)
> 不同浓度6∶2氟调磺酸的表面张力测定仪器及结果(二)
> 基于LB膜技术制备二氧化硅二维光子晶体薄膜的方法
> 3种常见醇类燃料甲醇、乙醇、正丁醇喷雾特性与表面张力的关系(一)
> 铂金板法测定不同浓度、温度、表面活性剂对氨水表面张力值(二)
> KibronXVDEVIOS破解版安卓手机安装包研究烧结矿聚结行为
推荐新闻Info
-
> 表面张力对机械结合面接触载荷、真实接触面积以及接触刚度的影响规律(三)
> 表面张力对机械结合面接触载荷、真实接触面积以及接触刚度的影响规律(二)
> 表面张力对机械结合面接触载荷、真实接触面积以及接触刚度的影响规律(一)
> 一种改进的CSF模型:用于SPH流体仿真的光滑表面张力模拟(二)
> 一种改进的CSF模型:用于SPH流体仿真的光滑表面张力模拟(一)
> 减弱贾敏效应的方法|表面活性剂改善贾敏效应实验
> 贾敏效应实验方法与步骤、结果
> 贾敏效应机理、影响因素及其在低渗透油藏开发中的危害(一)
> 面向高效环保灭火剂的界面张力最小化:短链氟碳复配体系的设计与解析(四)
> 面向高效环保灭火剂的界面张力最小化:短链氟碳复配体系的设计与解析(三)
LiF-CaF₂-Yb₂O₃熔盐体系表面张力的测定及其对Ni-Yb合金电解的指导意义(二)
来源:《有色金属科学与工程》 浏览 618 次 发布时间:2025-12-02
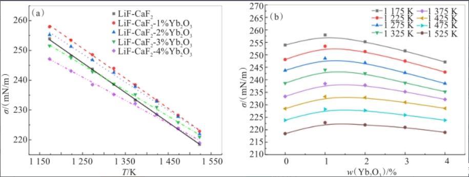
2.1.2 LiF-CaF2-Yb2O3体系表面张力变化规律
研究表明在1 173~1 523 K温度范围内,(LiF-CaF2)etu体系中Yb2O3溶解度低于2%(质量分数),因此,图3(a)中为一定Yb2O3含量下(LiF-CaF2)etu-Yb2O3体系表面张力随温度的变化规律,可以看出,在1 173~1 523 K范围内,一定Yb2O3含量的(LiF-CaF2)etu-Yb2O3体系表面张力随着温度的升高而降低,原因是温度的升高致使熔体表面层离子或团簇具备较高的动能和较低的解离能,阴阳离子之间的相互吸引作用减弱。
图3(b)为特定温度下(LiF-CaF2)etu-Yb2O3体系表面张力随Yb2O3含量的变化规律,可以看出,表面张力与Yb2O3的溶解度之间密切相关。当Yb2O3的质量分数为0~2%时,Yb2O3在LiF-CaF2体系内被充分溶解,体系的表面张力在Yb2O3的质量分数为1%时达到最高值。随着Yb2O3的质量分数进一步增加,达到过饱和状态,体系的表面张力出现减小,分析原因认为Yb2O3的加入会导致(LiF-CaF2)etu体系的离子构成形式发生变化,从而使表面层和体相离子团簇构成形式发生变化。
由于(LiF-CaF2)etu体系中Yb2O3的溶解度较小,(LiF-CaF2)etu体系中主体结构不会发生根本性变化,但可以确定在Yb2O3的溶解量为0~2%(质量分数)时,体系内部会产生吸引作用力强的离子团簇,使其表面张力增加。随着Yb2O3含量的增加,体系表面层中离子结构发生变化,削弱了表面层离子或团簇的吸引作用,导致表面张力下降。拟合图3(b)中数据可以得到LiF-CaF2-Yb2O3熔盐体系表面张力的回归方程式(4)。
σ=363.190-0.940x-0.092T(4)
图3温度(a)和Yb2O3含量(b)对LiF-CaF2熔盐体系表面张力的影响
2.2 Ni-Yb合金的表面张力
综合LiF-CaF2-Yb2O3体系和Ni-Yb合金表面张力变化规律,表明随电解温度的升高,LiF-CaF2-Yb2O3熔盐体系的表面张力减小,但仅在220~260 mN/m较小范围内变化。Yb2O3在LiF-CaF2-Yb2O3体系中的含量引起的张力变化范围同样不显著,在1 173~1 523 K温度区间表面张力波动范围小于20 mN/m。因此,Ni-Yb合金的表面张力值随组分和温度的变化决定合金与LiF-CaF2-Yb2O3体系的分离。
Butler方程如式(5)所示,该方程经过完善后被广泛应用于二元及三元合金内的表面张力的预测,经对多种合金体系的验证,预测值与实验值较吻合。利用Butler模型,结合Yb、Ni纯金属的标准物理参数,见表2所列,得到图4所示高于Ni-Yb合金熔点100~600 K和Yb摩尔百分含量0~100%范围内的表面张力曲面预测值。同时,图4中给出了LiF-CaF2-Yb2O3体系在1 173~1 523 K温度区间以及Yb2O3质量分数在0~4%范围内的表面张力曲面预测值,当合金中Yb的摩尔分数低于10%时,合金的表面张力变化梯度大,在600~1 700 mN/m迅速增大。当Yb的摩尔分数高于10%时,合金的表面张力变化梯度小,在200~600 mN/m范围内缓慢减小。对比LiF-CaF2-Yb2O3体系的张力曲面,当合金中Yb的摩尔分数低于10%时,合金与熔盐的表面张力差值范围在340~1 480 mN/m间波动,远高于熔盐体系。合金与熔盐体系润湿性差,液态合金易于团聚。合金中Yb的摩尔分数高于10%时,合金与熔盐的表面张力差值仅在20~340 mN/m小范围内波动,合金与熔盐体系润湿性好,液态合金不易团聚。总体上,在温度1 173~1 523 K范围内的LiF-CaF2-Yb2O3体系下,熔盐体系的黏度相对稳定,Yb摩尔分数高于10%的Ni-Yb合金产物与LiF-CaF2-Yb2O3熔盐表面张力差值较小,润湿性更好,有利于收集。
表2纯金属Ni、Yb的标准物理参数
图4 Ni-Yb合金与LiF-CaF2-Yb2O3体系表面张力曲面对比
式(5)中:=0.75,σ和σi为溶体和纯组分i的表面张力数值,单位mN/m;R为气体常数(8.314 J/mol/K);T为绝对温度数值,单位K;XiS和XiB分别为组分i在表面相和体相中的摩尔分数;Si为组分i纯物质的单层表面积数值,单位m2;分别为表面相和体相中组分i的偏摩尔吉布斯自由能数值,单位J/mol;ZS和ZB分别是表面相和体相的配位数;No为阿伏伽德罗常数(6.02×1023 mol-1);Mi为组分i的摩尔质量数值,单位kg;ρi为密度数值,单位kg/m3。
3结论
1)在1 173~1 523 K范围内,随着温度的升高,LiF-CaF2体系的表面张力呈线性降低。Santos方程能较好预测LiF-CaF2体系二元熔盐体系表面张力和描述表面相与体相组成的关系;在1 173~1 523 K范围内,LiF-CaF2-Yb2O3体系表面张力随温度的升高而降低;在Yb2O3的质量分数为1%~4%范围内,体系的表面张力先增后减,在质量分数为1%时达到最高。
2)当高于熔点200~600 K范围内,液态Ni-Yb合金中Yb的摩尔分数低于10%时,其表面张力在600~1 700 mN/m迅速增大。当Yb的摩尔分数高于10%时,合金的表面张力在200~600 mN/m范围内缓慢减小。温度为1 173~1 523 K范围内的LiF-CaF2-Yb2O3体系的表面张力在220~260 mN/m较小范围内波动,相对稳定,与Yb摩尔分数高于10%的Ni-Yb合金表面张力差值较小,润湿性更好。





