合作客户/
拜耳公司 |
同济大学 |
联合大学 |
美国保洁 |
美国强生 |
瑞士罗氏 |
相关新闻Info
-
> 煤体润湿性与水溶液表面张力关系的实验分析【下】
> 不同温度下纯有机物液体表面张力估算方法及关联方程(二)
> 胜利油田常规和亲油性石油磺酸盐组成、色谱、质谱、界面张力测定(一)
> 不同温度下手性离子液体及二元混合物的密度和表面张力(上)
> 腰果酚醛树脂嵌段聚醚破乳剂表面/界面性能、油滴破裂速率常数测定(一)
> 不同浓度6∶2氟调磺酸的表面张力测定仪器及结果(二)
> 基于LB膜技术制备二氧化硅二维光子晶体薄膜的方法
> 3种常见醇类燃料甲醇、乙醇、正丁醇喷雾特性与表面张力的关系(一)
> 铂金板法测定不同浓度、温度、表面活性剂对氨水表面张力值(二)
> KibronXVDEVIOS破解版安卓手机安装包研究烧结矿聚结行为
推荐新闻Info
-
> 表面张力对机械结合面接触载荷、真实接触面积以及接触刚度的影响规律(三)
> 表面张力对机械结合面接触载荷、真实接触面积以及接触刚度的影响规律(二)
> 表面张力对机械结合面接触载荷、真实接触面积以及接触刚度的影响规律(一)
> 一种改进的CSF模型:用于SPH流体仿真的光滑表面张力模拟(二)
> 一种改进的CSF模型:用于SPH流体仿真的光滑表面张力模拟(一)
> 减弱贾敏效应的方法|表面活性剂改善贾敏效应实验
> 贾敏效应实验方法与步骤、结果
> 贾敏效应机理、影响因素及其在低渗透油藏开发中的危害(一)
> 面向高效环保灭火剂的界面张力最小化:短链氟碳复配体系的设计与解析(四)
> 面向高效环保灭火剂的界面张力最小化:短链氟碳复配体系的设计与解析(三)
新型悬滴实验系统的研制与二甲基亚砜/甲醇混合物表面张力测量(一)
来源:《化学工程》 浏览 563 次 发布时间:2025-12-04
利用新研制的悬滴法液体表面张力实验系统测量了二甲基亚砜和甲醇在温度为303.15—323.15K的表面张力,并拟合了计算方程。通过与文献数据进行了比较发现,文中数据和方程与文献数据偏差不超过±1%。在此基础之上,测量了二甲基亚砜与甲醇二元混合溶液在303.15—323.15K温度区间内,DMSO摩尔分数在0.1—0.9的表面张力,由结果可知不同配比下混合溶液表面张力实验值随温度的升高呈线性减小的趋势。
甲醇与传统的车用燃料汽油有许多相似的性质:如二者的密度相同;着火点及燃烧时的火焰温度相近。同时甲醇的来源广泛、价格低廉,且不含石油燃料中必含的硫、苯、芳烃、烯烃等致癌物质,适宜作为汽油的替代燃料之一。与汽油相比,甲醇燃烧后的废气中CO、HC等有害物质的含量显著降低[1-3]。同时,以固体聚合物作为电解质的直接甲醇燃料电池(DMFC),更兼有运行温度低、易于封装携带和安全性高等优点,未来将广泛应用于便携式电子设备和汽车等领域。
二甲基亚砜(DMSO)是一种较强的极性溶剂,可以与甲醇进行任意比例的互溶,同时具有较高的沸点和较强的可燃性,在石油、化工、医药、电子、合成纤维、塑料、印染等行业中常作为万能溶剂。二甲基亚砜广泛应用于动力学和电化学研究,常用作聚合物的溶剂。
表面张力作为燃料的重要性能指标,对于燃料在发动机汽缸内的雾化过程有着重要的影响。一般地,表面张力较高会导致汽油机喷雾困难,液体燃料不易破碎成较小的液滴,延长了燃烧时间,降低了汽油机的热效率。因此,在设计和优化汽油机喷射器时,为了达到满意的雾化性能指标,以提高汽油机效率和降低有害污染物和颗粒排放,首先必须精确地获取燃料在较宽的温度范围内的表面张力。但是,国内外现有的研究文献表明,甲醇与二甲基亚砜混合物表面张力数据仍属空白,因此本文将利用课题新研制的高精度悬滴实验系统测量了其混合物表面张力,为柴油机喷射系统的设计提供数据支撑。
实验本体材料为316不锈钢,设计承压范围为0—20MPa,两端设计有法兰结构的观察窗。悬滴通过不锈钢针头形成,其端口平整,外径规格为(1.61±0.005)mm,内径为0.3mm,通过螺纹结构紧固于本体内。采用LED白色冷光源和1400万像素的CMOS相机及其放大镜头采集悬滴图像。实验本体温度采用电加热分段控制,在其非观察面上均匀缠绕电加热丝并利用Fluke2100温度控制器控制其温度,在观察窗两侧安装有加热筒,并控制加热筒的温度高于本体温度约5—10℃,防止在升温的过程中窗口结雾。实验系统的温度范围为20—180℃,温度波动度好于±10mK。本体温度采用ASL F200高精度温度测量仪测量,校准证书显示的全量程测温不确定度为±10mK,Pt100温度计由北京计量院标定,标定证书显示的不确定度为±5mK。因此,本文实验系统的温度扩展不确定度为±30mK(k=2)。实验本体通过螺纹杆悬至于环氧树脂保温箱体内部,并利用调平螺母调节本体的高度和水平,从而使其内部的针管处于铅垂位置并在相机视野的中心。待本体温度稳定30min后,开始采集悬滴图像,每滴采集10次,间隔为3s,至少采集3个悬滴共计30张图片,拟合计算并取平均值作为最后的实验结果。
3 结果与讨论
3.1 系统测量不确定度分析
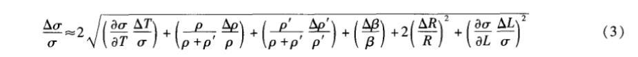
本文实验系统的测量不确定度由以下误差传递公式估计为:
式中:(∂σ/∂T)·(ΔT/σ)表示温度波动引入的不确定度;Δρl/(ρl-ρg)和Δρg/(ρl-ρg)分别表示气液相密度值引入的不确定度;Δβ/β和ΔR0/R0表示拟合计算结果引入的不确定度;(∂σ/∂L)·(ΔL/σ)表示像素尺寸误差引入的不确定度。
实验系统的温度扩展不确定度为±30mK(k=2)。液体温度变化1K所引起的表面张力变化小于0.2mN/m,当所测液体的表面张力大于10mN·m时,温度的不确定度为(∂σ/∂T)·(ΔT/σ)≈0.06%。气液相密度的不确定度贡献分别为0.005%和0.2%。重力加速度值一般比较精确,其不确定度贡献可忽略。拟合β和R0的不确定度贡献分别为Δβ/β=0.05%和ΔR0/R0=0.005%。考虑到0.001μm的像素尺寸误差引入的偏差约为0.05%,像素尺寸的误差不超过0.001μm,因此由像素尺寸引入的不确定度贡献(∂σ/∂L)·(ΔL/σ)小于0.05%。综上所述,本文系统测量表面张力的扩展不确定度为0.44%(k=2)。
表1为利用悬滴实验系统测量的二甲基亚砜及甲醇在303.15–323.15 K温度区间内的表面张力值。其中,二甲基亚砜的密度数据取自文献[9]采用AntonPaarU型振动管密度计测得的结果。甲醇的密度数据取自NIST REFPROP9.0[10]。本文测量时的温度不高,各物质的气相密度很小,因此在实际计算中可将其忽略不计。实验过程中所使用的二甲基亚砜及甲醇均采购自阿拉丁化学试剂有限公司,纯度为99.5%,使用前未做进一步提纯。
表1 二甲基亚砜和甲醇表面张力实验数据| T / K | ρ / (kg·m-3) | σexp / (mN·m-1) | T / K | ρ / (kg·m-3) | σexp / (mN·m-1) |
|---|---|---|---|---|---|
| 303.16 | 1.0908 | 41.88 | 303.16 | 0.78154 | 21.70 |
| 308.14 | 1.0858 | 41.28 | 308.14 | 0.77683 | 21.30 |
| 313.16 | 1.0808 | 40.73 | 313.16 | 0.77208 | 20.88 |
| 318.13 | 1.0758 | 40.16 | 318.13 | 0.76733 | 20.39 |
| 323.12 | 1.0708 | 39.67 | 323.12 | 0.76182 | 19.96 |
分别将二甲基亚砜和甲醇表面张力数据拟合为Van der Waals形式:
σ = σ0 (1 - T/Tc)μ (4)
式中:Tc的单位为K;二甲基亚砜的临界温度为Tc=707K,拟合值σ0=76.255911 mN/m,μ=1.07134,实验值与方程拟合值的最大偏差为0.085%,平均偏差为0.06%;甲醇的临界温度为Tc=512.6K,拟合值σ0=46.05784 mN/m,μ=0.839733,实验值与方程拟合值的最大偏差为0.16%,平均偏差为0.089%。





