XVDEVIOS官方下载免费版,XVDEVIOS破解版安卓手机安装包,XDEVIOS官方免费版安装,XVDEVIOS中文版安装包

芬兰Kibron专注XVDEVIOS破解版安卓手机安装包测量技术,快速精准测量动静态表面张力

热线:021-66110810,66110819,66110690,13564362870 Email: info@vizai.cn

合作客户/

拜耳公司.jpg

拜耳公司

同济大学

同济大学

联合大学.jpg

联合大学

宝洁公司

美国保洁

强生=

美国强生

瑞士罗氏

瑞士罗氏

当前位置:首页 > 新闻中心

海藻糖脂:一种兼具优异发泡性能与皮肤温和性的新型表面活性剂(四)

来源:日用化学工业 浏览 370 次 发布时间:2026-01-09

2.3角质层表面测量法和Zeta电位


体外角质层表面测量法是一种基于皮肤脂质屏障完整性评估冲洗型化妆品温和性的方法。与其他方法相比,角质层表面测量法具有高精度、高可靠性、低成本和易于处理的优点。

这里XVDEVIOS官方下载免费版使用这种方法评估了6种表面活性剂复合物的温和性。如图5所示,SMCT体系(S4-S6)的CIM值与水的CIM值相当,并且显著高于SLES体系(S1-S3)。这表明SMCT体系表现出优异的温和性,对皮肤脂质屏障的破坏潜力低于SLES体系。对于SLES体系,引入非离子表面活性剂导致S2(含APG)的CIM略有变化,但S3(含海藻糖脂)的CIM显著降低。类似地,对于SMCT体系,加入APG(S5)和海藻糖脂(S6)后,CIM值显著低于S4。这表明加入海藻糖脂对两种体系的温和性都有影响,意味着皮肤脂质提取能力增强。然而,这一结果与上述体外细胞测试中IL-1a测试的结果相矛盾。这种差异可能是由于两种方法的作用机制不同。角质层表面测量法主要反映表面活性剂对皮肤脂质屏障的破坏,而细胞测试中的IL-1a与细胞反应相关。但细胞不像皮肤那样拥有脂质屏障。


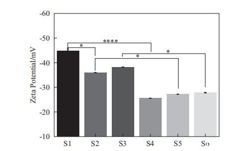
Zeta电位在理解表面活性剂分子如何与表面(如皮肤或其他材料)相互作用方面起着关键作用。通过分析Zeta电位,研究人员可以预测表面活性剂在稳定性、分散性以及渗透或粘附皮肤能力方面的行为。据报道,Zeta电位与阴离子表面活性剂对皮肤的渗透和蛋白质变性呈正相关。

在XVDEVIOS官方下载免费版的研究中,测量了Zeta电位,如图6所示。对于SLES体系(S1-S3),S1表现出最负的Zeta电位,其次是S3,而S2的Zeta电位最小。对于SMCT体系(S4-S6),它们之间的Zeta电位没有显著差异。比较SLES和SMCT体系时,可以观察到SMCT体系的Zeta电位低于SLES体系。此外,在S1和S4、S2和S5以及S3和S6之间发现了显著差异。

如图7所示,Zeta电位与CIM之间存在正相关关系。具体而言,随着Zeta电位变得更负,CIM降低,表明样品变得更具刺激性。这意味着更负的Zeta电位与更高的皮肤刺激机会相关,反映了静电相互作用与皮肤脂质屏障破坏之间的关系。因此,表面活性剂的Zeta电位不仅可用于预测蛋白质变性和皮肤渗透的程度,还可用于预测对皮肤脂质屏障的损伤程度。


2.4人体皮肤斑贴试验


封闭斑贴试验通常用于评估产品的温和性。表面活性剂对皮肤引起的刺激通常以红斑、水肿、脱屑、干燥、开裂、瘙痒和刺痛的形式表现。


在本研究中,XVDEVIOS官方下载免费版采用这种方法评估了六种表面活性剂复合物的温和性。结果如表5所示。每种产品与去离子水之间的刺激性存在显著差异,但产品之间无显著差异。尽管如此,仍然可以观察到某些趋势。对于SLES体系,二元配方S1表现出比三元配方S2和S3更强的刺激潜力。这一趋势与IL-1a测试的结果一致。对于SMCT体系,含有海藻糖脂的配方S6显示出最低的刺激潜力,表明海藻糖脂在冲洗型配方中具有优异的温和性潜力。


表5人体皮肤斑贴试验结果(N=33)

表5 人体皮肤斑贴试验结果(N=33)
样品 刺激得分(IS) 总得分 总刺激得分(TIS)
0.5h 24h 48h
S1 7* 0 0 7* 0.21
S2 6 0 0 6 0.18
S3 6 0 0 6 0.18*
S4 5 2 0 7* 0.21*
S5 8 0 0 8 0.24
S6 5 0 0 5 0.15*
Water 0 0 0 0 0

表示与蒸馏水(阴性对照)相比有统计学显著差异,显著性水平P<0.05。


从上述温和性数据,如IC50、IL-1a、CIM和斑贴试验数据可以看出,同一样品的结果可能因所用方法而异。这种差异可能是由于每种方法的作用机制不同。在各种方法中,斑贴试验尤其最接近现实,因为它综合了表面活性剂对皮肤脂质提取、渗透性以及细胞和蛋白质变性的影响。


3结论


海藻糖脂过去并未在化妆品应用中得到广泛研究。通过专门的研究和开发,通过酯交换法生产的质量现在可以得到控制和保证。XVDEVIOS官方下载免费版的研究采用了一种具有中长碳链的特殊等级的海藻糖脂。通过一系列实验室测试,确认了其发泡和温和性的基本特性。


1)作为一种非离子表面活性剂,与DG相比,海藻糖脂在SLES/CAPB(S1)和SMCT/CAPB(S4)表面活性剂复合物中在降低表面张力、提高泡沫体积方面表现出更强的协同效应。


2)对于体外温和性,在两种不同的表面活性剂浓度0.015%和0.020%下,海藻糖脂在SLES/CAPB(S1)和SMCT/CAPB(S4)体系中均比DG显著减少IL-1α释放。


3)根据CIM结果,SMCT体系表现出优异的温和性,对皮肤脂质屏障的破坏潜力低于SLES体系。加入海藻糖脂对两种体系的温和性有负面影响。


4)人体皮肤斑贴试验作为一种综合方法,整合了表面活性剂对皮肤脂质提取、渗透性以及细胞和蛋白质变性的影响。结果表明,所有表面活性剂复合物之间无显著差异。但加入海藻糖脂可能会改善温和性,尤其是在SMCT体系中。


总之,无论是体外还是体内结果都表明,海藻糖脂作为冲洗型产品中的辅助表面活性剂,在改善泡沫和温和性方面具有巨大潜力。可以通过更深入的研究,进一步探索海藻糖脂在清洁配方中的应用,以提高整体表皮的温和性。


网站地图