合作客户/
拜耳公司 |
同济大学 |
联合大学 |
美国保洁 |
美国强生 |
瑞士罗氏 |
相关新闻Info
推荐新闻Info
-
> 表面张力对机械结合面接触载荷、真实接触面积以及接触刚度的影响规律(三)
> 表面张力对机械结合面接触载荷、真实接触面积以及接触刚度的影响规律(二)
> 表面张力对机械结合面接触载荷、真实接触面积以及接触刚度的影响规律(一)
> 一种改进的CSF模型:用于SPH流体仿真的光滑表面张力模拟(二)
> 一种改进的CSF模型:用于SPH流体仿真的光滑表面张力模拟(一)
> 减弱贾敏效应的方法|表面活性剂改善贾敏效应实验
> 贾敏效应实验方法与步骤、结果
> 贾敏效应机理、影响因素及其在低渗透油藏开发中的危害(一)
> 面向高效环保灭火剂的界面张力最小化:短链氟碳复配体系的设计与解析(四)
> 面向高效环保灭火剂的界面张力最小化:短链氟碳复配体系的设计与解析(三)
谁的表面张力更大?
来源:李传亮 浏览 1740 次 发布时间:2022-06-20
从前发过一个帖子“好大的泡泡“,帖了两张吹的比人还大的肥皂泡泡供大家娱乐消遣,并说了大泡泡的表面张力也会很大的意思。
有网友提出了不同看法,说大泡泡的表面张力不是很大,应该很小,表面张力小才容易起泡,增加表面积做功才最少。
他们的说法似乎也有道理,一个泡泡图片引发了大家的思考,是一件很好的事情。
我是这样分析泡泡的受力情况的,图中的泡泡不是人吹的,而是风吹的,泡泡的内外都是空气,但里面的压力肯定比外面的压力高,二者的差值为泡泡的附加压力,也就是人们常说的毛管压力。由于风是固定的,因此附加压力的数值也是一样的。在相同的附加压力下,是大泡泡的表面张力大,还是小泡泡的表面张力大呢?
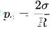
由于附加压力
,曲率半径越大,表面张力[公式]也就越大,因此,只有表面张力较大的液体才能吹成更大的泡泡。若表面张力较小,还没等吹大就破了。表面张力与固体材料的应力强度极为相似,都是破裂时的力学性质。
我没有深入研究过表面化学,一时也找不到更好的解释,请大家讨论一下吧,看谁能给出更好的答案,期待中。。。





