合作客户/
拜耳公司 |
同济大学 |
联合大学 |
美国保洁 |
美国强生 |
瑞士罗氏 |
相关新闻Info
推荐新闻Info
-
> 表面张力对机械结合面接触载荷、真实接触面积以及接触刚度的影响规律(三)
> 表面张力对机械结合面接触载荷、真实接触面积以及接触刚度的影响规律(二)
> 表面张力对机械结合面接触载荷、真实接触面积以及接触刚度的影响规律(一)
> 一种改进的CSF模型:用于SPH流体仿真的光滑表面张力模拟(二)
> 一种改进的CSF模型:用于SPH流体仿真的光滑表面张力模拟(一)
> 减弱贾敏效应的方法|表面活性剂改善贾敏效应实验
> 贾敏效应实验方法与步骤、结果
> 贾敏效应机理、影响因素及其在低渗透油藏开发中的危害(一)
> 面向高效环保灭火剂的界面张力最小化:短链氟碳复配体系的设计与解析(四)
> 面向高效环保灭火剂的界面张力最小化:短链氟碳复配体系的设计与解析(三)
神经元钙传感蛋白(NCS1)的膜结合性能研究【下】
来源:上海XVDEVIOS官方下载免费版 浏览 2156 次 发布时间:2022-07-06
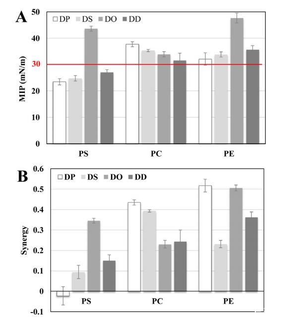
关于脂肪酰基链,除DPPE外,在存在不饱和脂质(DO和DD)的情况下观察到的MIP值大于在三个极性头基的饱和脂质(DP和DS)下观察到的MIP值。不饱和脂质比饱和脂质更具流动性和动态性,mNCS1与这种构象的相互作用更好。事实上,DP和DS单分子膜中不存在不饱和现象会导致液体冷凝物理状态,其中疏水性脂肪酰基链组织良好,极性头基密集[53]。此外,在DOPS存在下观察到的MIP值可以通过mNCS1对其不饱和脂肪酰基链的更好的结合相互作用来解释,而不是PS的潜在排斥作用。同样,在饱和磷脂存在下的协同值小于在不饱和磷脂存在下观察到的协同值。事实上,在不饱和脂肪酰基链存在下观察到的协同值在0.25±0.03和0.43±0.04之间。此外,在DDPC和DDPE存在下观察到的协同值分别大于在DOPC和DOPE存在下观察到的协同值。mNCS1似乎优先结合长的不饱和脂肪酰基链。这些数据表明,mNCS1将优先结合由不饱和磷脂组成的生理膜结构域。然而,在DO脂肪酰基链存在的情况下观察到的协同值与其他关于极性头基的协同值不遵循相同的趋势。事实上,PS脂质单层的协同值更大,PC和PE脂质单层的协同值降低。这一观察结果可以用PO脂肪酰基链的独特构型来解释。事实上,它们由一个顺式双键组成,该双键导致刚性曲率[71],导致mNCS1以比PC和PE更大的协同作用与PS脂质单分子膜结合。
因此,如第2.3节所述,在不同i下存在掺杂单层的情况下,使用以下适用于Pitcher[50]表面压力测量的拉伸指数方程对mNCS1进行了吸附动力学拟合。如表S2所示,掺杂单分子层中mNCS1的吸附速率从0.074s下降−1至0.003秒−1当初始表面压力从5.0 mN/m增加到29.3 mN/m时。在这些条件下,速率系数随着i值的增加而增加,正如之前用另一种蛋白质观察到的那样[72]。因此,在DOPE、DOPS和DPPE单分子膜存在的情况下,以近似相同的i值(约16 mN/m)计算了mNCS1的速率系数(表S3)。在掺杂单分子膜(0.069 s)存在下,速率系数更高−1)比用DOPS单分子膜观察到的结果(0.030s−1)这高于用DPPE单分子膜观察到的结果(0.002秒−1).这一观察结果意味着,除了MIP和synergy的高值外,DOPE对蛋白质的吸附比DOPS或DPPE更快。
先前的数据表明,约5%的突触体NCS1定位于Triton X-100提取后获得的耐去污剂膜(DRM)[43]。然而,其余95%的定位尚未确定。mNCS1可能主要定位于由不饱和磷脂组成的膜结构域,尤其是那些含有PE极性头基的膜结构域。
3.1.2.缺钙对mNCS1膜结合的影响
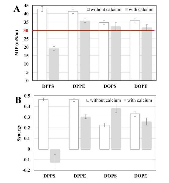
mNCS1与钙的结合导致构象变化、C末端片段的挤出和大的疏水裂缝的暴露[23,24]。这些变化可能与mNCS1的膜结合有关。以前的数据表明,在有钙和无钙的情况下,NCS1与膜的结合不同[73]。事实上,钙浓度的升高稳定了膜上mNCS1的补充部分。NCS1对钙具有纳摩尔亲和力(90 nM)[44],因此在存在1 mM钙时处于钙结合构象。在乙二醇四乙酸(EGTA)存在下也进行了膜结合测量,EGTA是钙离子的螯合剂。在EGTA存在下,mNCS1的EF-hand基序不能结合可能存在的钙,蛋白质的构象改变为无钙形式。因此,在四种不同磷脂(DPPS、DPPE、DOPS和DOPE)存在的情况下,评估了钙和磷脂组成对mNCS1膜结合的影响。以下数据说明了在钙存在下mNCS1的构象变化以及这种变化对其膜结合的影响。
图5.在无钙(白色)和有钙(灰色)的情况下,mNCS1与DPPS、DPPE、DOPS和DOPE的MIP(A)和协同作用(B)值。MIP和synergy值的不确定性如第2.3节所述计算。
在没有钙的情况下,mNCS1采用无钙构象,其结合膜的方式与存在钙的情况不同。图5比较了在存在和不存在钙的情况下获得的mNCS1的MIP和synergy值(数值见表S4)。当mNCS1不与钙结合时,MIP值大于存在钙的情况。事实上,在没有钙的情况下,所有MIP值都在30 mN/m以上,这表明当蛋白质与钙结合时,该蛋白质能够与任何膜蛋白结合。在没有钙的情况下,协同值也相当高,表明mNCS1和膜之间有很强的协同作用,无论其成分如何。DPPE、DOPS和DOPE单分子膜缺钙对结合参数的影响很小,分别使MIP增加5.57、2.28和4.16 mN/m,协同效应分别增加0.16、0.00和0.07。无钙构象似乎限制了mNCS1与PE脂质单层的膜结合。然而,在DPPS单层的存在下,MIP值增加了一倍多,从19.3 mN/m增加到42.8 mN/m。此外,在没有钙的情况下观察到巨大的协同值增加。实际上,协同价值从−0.12至0.47,表明mNCS1的无钙构象应隐藏其负电荷,并消除该单层与蛋白质之间的排斥作用(图4)。mNCS1的负电荷残基应埋在无钙构象中,并暴露在钙结合构象中,从而导致蛋白质排斥。在DOPS存在的情况下,协同值从0.38降低到无钙的情况下的0.23。DO脂肪酰基链的独特构型可以解释这一数据。然而,在没有钙的情况下,MIP和协同值相当高,并且应允许mNCS1与由DOP组成的脂质结构域的膜结合。
先前的数据表明,钙对两种形式的蛋白质都有外在的稳定作用[74]。事实上,在没有钙的情况下,mNCS1和nmNCS1的稳定性显着降低,但在有钙的情况下,平衡转变是完全可逆的。然而,这些研究是在没有脂质单层的情况下进行的。在缺乏钙和磷脂的情况下,NCS1的结构可能会不稳定,但在磷脂单分子膜的存在下,这种趋势可能会逆转。事实上,两种形式的NCS1在没有钙的情况下的MIP值都更大,这表明在没有钙的情况下,蛋白质与膜强烈相互作用。这一观察结果支持了这样一个事实,即在没有钙的情况下,蛋白质与膜紧密结合,而在有钙的情况下,构象变化减少了这种相互作用,这肯定有利于那些具有不同底物的蛋白质。
在没有钙的情况下进行的测量可以表征钙和mNCS1构象的存在对其膜结合的影响。然而,为了确定最终的肉豆蔻酰钙开关,对非肉豆蔻酰化蛋白nmNCS1进行了相同的测量。
3.2.是否存在钙-肉豆蔻酰开关?
3.2.1.肉豆蔻酰基在NCS1膜结合中的作用
NCS家族蛋白质的N-末端甘氨酸是酰化的[8-10]。这种酰化可能在这些蛋白质的生理功能中发挥重要作用。mNCS1的酰化是肉豆蔻酰化,是一个没有双键的14碳链。一些NCS蛋白质具有钙-肉豆蔻基开关,这是一种动态机制,允许在钙存在的情况下挤出肉豆蔻基。然而,如引言所述,NCS1的这种机制存在争议。因此,使用不含肉豆蔻酰基的蛋白质nmNCS1进行了结合膜测量,以表征不存在这种酰化对其膜结合的影响。
图6比较了在有钙和无钙的情况下mNCS1和nmNCS1的MIP值(数值见表S5)。在钙存在或不存在的情况下,用nmNCS1观察到的MIP值与观察到的四种磷脂的mNCS1的MIP值没有显着差异。因此,肉豆蔻酰基的存在似乎在钙存在下蛋白质的膜结合中不起关键作用。这些观察结果表明,NCS1中不存在肉豆蔻酰钙开关。事实上,另两种非肉豆蔻酰化和肉豆蔻酰化形式的NCS蛋白质VILIP-1和VILIP-3的MIP值之间的巨大差异突显了这种机制的存在[35]。在钙与DOPC/DOPS单层(3:1)的存在下观察到了这些差异。在不同的磷脂单分子膜中观察到recoverin(另一种NCS蛋白质)的MIP值存在差异,无论是否具有肉豆蔻酰化作用,这些磷脂单分子膜突出了这种蛋白质的肉豆蔻酰钙开关(C.Salese,未发表的结果)。此外,肉豆蔻酰化的存在增加了NCS1的钙协同度[24]。事实上,mNCS1与钙的结合比nmNCS1更强,3个钙离子与mNCS1结合,而nmNCS1只有2个。然而,这种区别不会导致钙存在时nmNCS1的不同膜结合。
图6.nmNCS1(白色)和mNCS1(灰色)的MIP值,在不存在钙(A)和存在钙(B)的情况下,具有DPPS、DPPE、DOPS和DOPE。MIP值的不确定性如第2.3节所述计算。
还观察到肉豆蔻酰化和非肉豆蔻酰化VILIP-3之间的吸附动力学差异。然而,钙存在下nmNCS1的吸附动力学与mNCS1的吸附动力学相似。事实上,在DOPE、DOPS和DPPE存在的情况下,计算了nmNCS1的速率系数(表S3)。如mNCS1所观察到的,在掺杂单分子膜(0.069 s)存在时,速率系数更高−1)比用DOPS单分子膜观察到的结果(0.061s−1)这高于用DPPE单分子膜观察到的结果(0.003秒−1)对于nmNCS1。这一观察结果表明,无论肉豆蔻酰化与否,DOPE对蛋白质的吸附都比DOPS或DPPE更快。肉豆蔻酰化基团的缺失不会显着影响蛋白质对不同磷脂单分子膜的吸附速率。在钙存在的情况下,mNCS1和nmNCS1的相似MIP值和速率系数表明,NCS1没有钙-肉豆蔻酰开关,正如几位作者所提出的[29,37,38,41]。
当NCS蛋白质具有钙-肉豆蔻酰开关时,肉豆蔻酰基团在膜结合中起关键作用[30-35,75-77]。然而,NCS1的肉豆蔻酰基可能具有除膜结合之外的另一种作用。事实上,以前的研究表明,肉豆蔻酰基团可能在蛋白质的展开/复性中发挥结构作用[74]。这一功能在很大程度上取决于钙,这可以解释在有无钙的情况下观察到的差异。mNCS1和nmNCS1的相似MIP值表明,肉豆蔻酰基不参与钙-肉豆蔻酰基开关或膜结合,而是参与蛋白质的结构作用。因此,需要研究一种类似于N-末端片段的肽,以试图解释该片段的作用,该片段似乎不涉及钙-肉豆蔻酰开关。
3.2.2.N-末端片段在钙存在下NCS1膜结合中的作用
NCS1的N-末端片段参与蛋白质与磷脂酰肌醇4-激酶相互作用的功能[46]。然而,关于最终参与膜结合的信息尚未描述。因此,使用类似于NCS1 N末端片段的肽进行了膜结合测量。该肽由以下33个残基组成:gksnsklkpevveeltrktyftekevqwykgf。由于脯氨酸的存在,该肽是肉豆蔻酰化的,由两个螺旋和一个环组成(图S1)。首先,已确定肽的饱和浓度为9g/mL。然后,在钙存在的情况下,对之前研究的12种不同磷脂与整个蛋白质进行结合膜测量。
图7.在钙存在下,使用DPP、DSP、DOPS、DDPS、DPPC、DSPC、DOPC、DOPC、DDPC、DPPE、DSPE、DOPE、DOPE和DDPE的单层的N-末端肽的MIP(A)和协同作用(B)值。MIP和synergy值的不确定性如第2.3节所述计算。
图7比较了有无钙时mNCS1和nmNCS1的MIP值(数值见表S6)。在PC或PE脂质单分子膜存在下观察到的所有MIP值均高于30 mN/m,表明肽可以优先结合由两性极性头基组成的磷脂。所有这些MIP值相似(31.6和37.7 mN/m之间,DOPE除外),并且没有显示出对特定脂肪酰基链的明确偏好。在PS脂质单分子膜存在下观察到的MIP值低于30 mN/m,但DOP除外,这可以由DO脂肪酰基链的独特构象来解释。此外,在存在DP、DS和DD脂肪酰基链的情况下,PE脂质单分子膜的协同值高于PC和PS脂质单分子膜的协同值。在DS脂肪酰基链的情况下,用PE脂质单层观察到的协同值低于用PC观察到的协同值,但优于用PS观察到的协同值。这些趋势表明,N端肽参与了整个蛋白质与由PE脂质单层组成的磷脂的优先结合。此外,关于脂肪酰基链,没有明显的趋势。事实上,在不饱和磷脂与聚苯乙烯的存在下观察到更高的协同值,而在聚碳酸酯中观察到相反的趋势。除DOPE外,在PE中观察到的所有协同值都很高。因此,这些数据表明,除了其N末端片段外,蛋白质的其他结构域也参与了膜结合。此外,在DOPE、DOPS和DPPE存在的情况下,计算了N端肽的速率系数(表S3)。速率系数比完整蛋白质慢并且相对恒定(0.001 s−1,0.002秒−1和0.003秒−1分别为DOPE、DOPS和DPPE单层)。这一结果表明,NCS1的其他结构域参与了蛋白质与脂质单层的相互作用速度。
尽管用N-末端肽观察到的趋势不太明显,但这些数据与用mNCS1观察到的结果一致。因此,N末端片段可以像蛋白质的其他片段一样与膜相互作用。为了更好地了解其参与mNCS1的膜结合,使用在线工具Heliquest分析了N-末端序列[78]。该工具可以预测两亲性肽的二级结构[79]。其算法检测至少五个相邻残基的不间断疏水表面的存在。如果存在这样的面,则验证面残留物是否为极性。螺旋轮中N-末端肽的氨基酸序列的投影如图8A所示。大多数带电残基(红色为正,蓝色为负)位于亲水面上,并可能与膜的极性头基团相互作用。此外,大多数疏水残基(黄色)位于螺旋的另一面,并可能与脂肪酰基链相互作用。这个组织可以解释在12个研究中观察到的9个磷脂的MIP非常高的值。NCS1的N-末端片段似乎参与了NCS1膜结合。其疏水残基与脂肪酰基链相互作用,而其亲水残基与极性头基相互作用,如图8B所示。这种参与应该解释NCS1的N末端片段在膜结合中的重要性,从而解释肉豆蔻基的微弱影响。
图8.(A)使用在线工具Heliquest[78]建立的N-末端肽的螺旋轮表示法。颜色代码如下:疏水残基为黄色,丝氨酸和苏氨酸为紫色,碱性残基为蓝色,酸性残基为红色,天冬酰胺和谷氨酰胺为粉红色,脯氨酸为绿色,其他残基为灰色。(B)在存在脂质单层的情况下N-末端肽的方向的图示。使用与(A)相同的颜色代码(为了解释本图例中对颜色的引用,读者请参阅本文的web版本)。
4、结论
在mNCS1存在下进行的膜结合测量表明,由PE极性头基和不饱和脂肪酰基链组成的磷脂具有更好的结合相互作用。这些数据说明了NCS1参与神经退行性疾病的原因。事实上,大多数神经干细胞蛋白参与了由钙调节失调引起的神经退行性疾病[8,80-83]。NCS1在精神分裂症[84]、双相情感障碍[85]、帕金森病[86]和阿尔茨海默病[87]患者的前额叶皮层上调。在精神分裂症[88,89]、阿尔茨海默病[90]和帕金森病[91,92]患者的大脑中观察到多不饱和脂肪酸浓度下降。此外,发现较少的PE脂质单层有利于PS脂质单层。然而,PS极性头基团带负电,应会对NCS1的膜结合及其功能产生巨大影响。此外,由于钙的存在而引起的构象变化显着影响NCS1膜结合。事实上,在钙存在的情况下,NCS1的膜结合较弱,这表明蛋白质发生了重组,以更好地与其底物相互作用。肉豆蔻酰基的存在对NCS1的膜结合影响很小,表明该蛋白质中缺乏钙-肉豆蔻酰基开关机制。肉豆蔻酰化可能在NCS1的折叠/去折叠中起到所需的结构作用。最后,N末端肽由两个参与NCS1膜结合的两亲螺旋组成。这些结果证实了文献中观察到的一些数据,但尚未解释。事实上,他们认为NCS1没有钙-肉豆蔻酰开关,正如几位作者先前提出的[29,37,38]。NCS1首先出现在进化过程中[40],钙-肉豆蔻酰开关可能只出现在NCS家族的新成员中。事实上,之前已经确定N-末端片段中的残基阻止了肉豆蔻基挤出[29]。假设在进化过程中发生了突变,以允许某些NCS蛋白质中存在这种机制[29,93]。为了验证这一假设,目前正在对NCS1突变体进行膜结合测量。
致谢
作者感谢Habib Horchani博士和Dre Alicia Montoni博士参与科学讨论和校对。SL是加拿大自然科学与工程研究委员会(NSERC)本科生研究奖的获得者。作者感谢NSERC和魁北克杜楚德基金会的资助。
附录A.补充数据
与本文相关的补充数据可在以下网站的在线版本中找到:http://dx.doi.org/10.1016/j.colsurfb.2015.11.65





