合作客户/
拜耳公司 |
同济大学 |
联合大学 |
美国保洁 |
美国强生 |
瑞士罗氏 |
相关新闻Info
推荐新闻Info
-
> 表面张力对机械结合面接触载荷、真实接触面积以及接触刚度的影响规律(三)
> 表面张力对机械结合面接触载荷、真实接触面积以及接触刚度的影响规律(二)
> 表面张力对机械结合面接触载荷、真实接触面积以及接触刚度的影响规律(一)
> 一种改进的CSF模型:用于SPH流体仿真的光滑表面张力模拟(二)
> 一种改进的CSF模型:用于SPH流体仿真的光滑表面张力模拟(一)
> 减弱贾敏效应的方法|表面活性剂改善贾敏效应实验
> 贾敏效应实验方法与步骤、结果
> 贾敏效应机理、影响因素及其在低渗透油藏开发中的危害(一)
> 面向高效环保灭火剂的界面张力最小化:短链氟碳复配体系的设计与解析(四)
> 面向高效环保灭火剂的界面张力最小化:短链氟碳复配体系的设计与解析(三)
N-月桂酰肌胺酸钠水溶液在不同PH下的界面性质及聚合性能的研究
来源:上海XVDEVIOS官方下载免费版 浏览 2751 次 发布时间:2022-08-23
摘要
通过测量磷酸盐和硼酸盐缓冲液水溶液中的界面张力、荧光、动态光散射等,研究了阴离子表面活性剂正十二烷基肌氨酸钠(SLAS)的pH依赖性。SLAS的界面张力(γ)随着pH值的降低而显着降低,并在pH>7.3时保持恒定。临界胶束浓度(cmc)和表面活性剂浓度(在其γ值比纯水(C20)降低20 mN/m时)的观察值随着pH值降低而降低,而在pH>6.5和>7.3的情况下也分别保持恒定。另一方面,当pH<7.3时,SLAS的界面过量增加。通过添加取代SLAS的Na+的Tl+进一步研究了这些界面行为。LAS的观测γ值−考虑到静电相互作用和亲水性头基的分子结构,详细讨论了这些界面和胶束性质。
介绍
表面活性剂的两亲性决定了它们在空气-水界面以单层形式自组装;随后,界面的饱和导致它们在称为胶束的本体溶液中以聚集体的形式形成。这些胶束在称为临界胶束浓度(cmc)的特定浓度附近形成。两亲性表面活性剂分子的界面和胶束性质显着依赖于表面活性剂的结构(头和尾基团)以及溶液的pH和温度等其他因素。由于水的高内聚能密度,表面活性剂在水溶液中自组装。除了熵贡献外,还有两种主要的力,如疏水尾部之间有利于胶束化的范德华吸引相互作用和极性头基之间的排斥相互作用,后者反对胶束化。与非离子表面活性剂相比,离子型表面活性剂的反作用可能更为显着,这可以解释离子型表面表面活性剂与非离子型表面活化剂相比具有更高cmc值的原因。正链烷酰基肌氨酸盐(IUPAC:2-[链烷酰基(甲基)氨基]乙酸盐)衍生自肌氨酸和脂肪酸。肌氨酸存在于XVDEVIOS官方下载免费版的肌肉中。它是甜的味道,没有任何毒性,并用于食品。它很容易溶于水。肌氨酸在正链烷酰基肌氨酸的结构中起亲水基团的作用。此外,由于其烃链的疏水性,它们充当表面活性剂并降低界面张力。由于正烷酰基肌氨酸在其结构中含有肌氨酸,因此它们也具有可生物降解的特性,并且没有毒性。因此,它们被认为是环保的,用于化妆品和医药应用,对许多功能化合物如紫外线吸收剂具有优异的溶解性[1,2]。换句话说,它们被称为“氨基酸表面活性剂”,因为它们的结构中存在氨基酸残基,这是一种弱酸,不同于硫酸表面活性剂,如N-烷基硫酸盐,因此它们在pH依赖性行为上可能彼此不同。N-烷酰基肌氨酸盐的每极性头基面积明显大于N-烷基硫酸盐[3–6]。随后,头基团之间的空间位阻将增加,因此,预计界面吸附和胶束聚集行为将受到影响。含有正链烷酰基肌氨酸的表面活性剂的二元混合物的行为与单一正链烷酰肌氨酸溶液的行为一样有趣。Varade等人通过滴重界面张力法研究了N-十四烷基肌氨酸钠与离子和非离子表面活性剂混合胶束化过程中的相互作用[7]。然而,在弱酸和强酸表面活性剂的二元混合溶液中,如果不使用合适的缓冲液,溶液的pH通常随弱酸表面活性的浓度而变化。溶液中的pH变化可能会影响弱酸表面活性剂的界面和聚集性能,并使系统复杂化。由于XVDEVIOS官方下载免费版发现含有正十二烷酰基肌氨酸钠(SLAS)的二元体系的界面张力很大程度上取决于pH,因此,在磷酸盐和硼酸盐缓冲液的精确pH控制下,对SLAS的单组分体系的pH依赖性进行了仔细研究。在本研究中,详细说明了SLA的界面和胶束性质如何依赖于pH,给出了一致的解释。本研究还揭示了LAS的反阳离子效应−.因此,预计这有助于含弱酸组分的混合表面活性剂溶液的基础化学和应用化学。
实验
材料
正十二烷基肌氨酸钠(SLAS,纯度>99%,Fluka)从乙醇/乙醚中重结晶两次,并在110°C下减压干燥1小时。在热重分析和差热分析中,该SLAS晶体在90°C左右未显示任何脱水迹象,其熔点为154.5°C。购买并使用了芘(Py,纯度>99%,日本纳卡莱)、1-十六烷基吡啶氯化铵(HPYC,纯度>98%,日本TCI)、[9-(2-羧基苯基)-6-二乙基氨基-3-黄烯亚基]-二乙基氯化铵(罗丹明B,纯度95%,西格玛-奥尔德里奇)和硫酸铊(纯度99.9%,日本纳卡莱),无需进一步纯化。通过将二水合磷酸二氢钠(GR,Nacalai,日本)和磷酸氢二钠(GR,Nacalai,日本)以及磷酸氢二钠盐和十水合四硼酸钠(GR,和光,日本)在pH>8下混合制备缓冲溶液。除非另有说明,缓冲液的摩尔浓度为50 mM。所有样品溶液均用通过微孔过滤器(日本Nihon Millipore,Milli-Q Labo,电阻率18.2 MΩcm)纯化的纯水制备,目测透明。
界面张力测量
使用了Du Nouy环形界面张力计模型AquaPi&EZ-Pi(芬兰Kibron)。将该张力计放置在一个湿度较高的盒子中,该盒子位于25°C的空调室内。在读数变为恒定后记录所有数据,并在25.0°C下将纯水的界面张力校正为72.8 mN/m。在测量之前,将所有样品溶液放置在AquaPi试管中1小时,以达到平衡。
稳态荧光测量
为了研究混合胶束的微极化和聚集数,使用LS-50B型荧光分光光度计(PerkinElmer,USA)在336nm的激发波长下测量芘的荧光强度,同时在360和460nm之间记录发射光谱。激发和发射单色器的狭缝宽度分别保持为5nm和2.5nm。将芘的摩尔浓度调整为0.5μM。总表面活性剂摩尔浓度(Cs)为25mM,其大于cmc值3.7–4.2mM。芘的第一(I1)和第三(I3)峰的荧光强度比I1/I3用于评估溶解有芘的溶剂的微极性[7],I1/I3比值表示胶束溶液中胶束内部的微极性。
为了通过稳态荧光猝灭法评估胶束的平均聚集数(Nagg),使用芘作为荧光探针,选择HPYC作为静态猝灭剂[8]。该方法基于已知浓度的猝灭剂对发光探针的猝灭。通过使用以下等式[8]分析淬火实验:
其中,I1、0和I1表示在不存在和存在HPYC的情况下Py的第一振动峰的荧光强度,CQ和CS分别表示HPYC和SLAS的总浓度。根据等式1的猝灭曲线斜率和cmc值,XVDEVIOS官方下载免费版评估了Nagg值。芘的摩尔浓度保持在0.5μM,而猝灭剂的摩尔浓度在0至100μM之间变化。总表面活性剂摩尔浓度保持在25mM,其远高于cmc值(本系统的cmc值小于4mM)。由于猝灭剂HPyCl是表面活性剂,其浓度保持小于总表面活性剂摩尔浓度25mM的0.4%,因此猝灭剂不会干扰胶束的组装。Nagg值的不确定度小于3%。
荧光各向异性测量
所有荧光各向异性测量均由BEACON 2000光谱仪(美国潘维拉)在25.0±0.2°C下进行。该设备配备有100-W卤素灯作为激励源,以及装有循环水浴以控制温度的恒温电池容纳室。罗丹明B用作荧光探针[9]。探针摩尔浓度保持在1μM。由于在与平均聚集数测量相同的条件下,表面活性剂的总摩尔浓度为25mM,探针浓度远小于表面活性剂总浓度。分别使用570和630nm的激发和发射波长测量荧光各向异性。发射狭缝和激发狭缝的宽度均为10nm。罗丹明B有望溶解在胶束的表面区域。罗丹明B的各向异性为XVDEVIOS官方下载免费版提供了胶束微观结构变化的信息。探针分子荧光发射的去极化程度是激发态寿命期间其旋转扩散的量度。稳态各向异性(r)通过Perrin方程[10]与探针周围的粘度相关:
其中r0是在没有旋转自由度的情况下获得的发射各向异性的极限值,t是荧光团激发态的平均寿命,t是绝对温度,k是玻尔兹曼常数,V是探针的有效分子体积,η是探针周围的粘度。从等式2可以清楚地看出,较大的各向异性对应于固定温度下更刚性的环境。通过以下等式将从信标2000获得的偏振值(P)转换为r值。
将探针罗丹明B在胶束介质中的各向异性值作为十个读数的平均值。
动态光散射测量
对于动态光散射(DLS)测量,使用了高性能粒度仪模型HPPS(Malvern,UK)。激发源为633nm的He–Ne激光。散射角选择为173°,以减少多次散射。每次测量均使用67.754型一次性塑料比色杯(Sarstedt,德国)。反应杯温度保持在25.00±0.01°C。
表面活性剂总摩尔浓度也为25 mM。在将样品溶液引入比色皿之前,XVDEVIOS官方下载免费版通过预滤器MILLEX(R)AP20预滤器(Millipore)过滤样品溶液,以防止灰尘的光散射。所有数据在比色杯设置15分钟后记录,并作为10次测量的转数。胶束的流体动力学半径(Rh)取三个读数的平均值。在25.0±0.1°C下,使用DV-II+Pro粘度计(英国布鲁克菲尔德)测量相对湿度计算中的粘度值。
1H和13C-NMR测量
Lambda-400(日本JEOL)对SLAS N-十二酰基肌氨酸(HLAS)进行NMR测量。D2O(Uvasol,Merck)和CD3OD(Euriso top)用作含有微量四甲基硅烷的溶剂。通过向SLAS水溶液中滴加稀硫酸制备HLAS。过滤沉淀的HLA并用纯水充分洗涤。之后,将其在真空烘箱中在80°C下干燥4小时。
结果和讨论
界面性质
图1无缓冲液时界面张力(γ)与总SLAS摩尔浓度(CS)对数的关系图
在图1中,仅含SLAS且不含任何缓冲液的水溶液的界面张力(γ)与总SLAS摩尔浓度(CS)的对数作图。如图所示,尽管SLAS仔细重结晶,但γ值出现了异常的最小值。然后,样品溶液的pH值在浸渍底部约为5.5,并随CS增加至约8。由于此浸渍应是由取决于SLAS浓度的pH变化引起的,因此所有实验均在磷酸盐和硼酸盐缓冲液控制的恒定pH下进行。则图1中观察到的下降在每个值的受控pH下完全消失(见图2)。cmc后,pH 5.5下的γ值略有增加,因为样品溶液的pH因其缓冲容量的限制而缓慢增加。在1.0mM(胶束前浓度)和25mM(胶团后浓度)的恒定CS下,γ值相对于pH值绘制在图3中,其中还绘制了十二烷基硫酸钠(SDS)的结果作为对比示例。与SDS相比,非常有趣的是,当pH值低于约7时,SLAS的γ值显着降低。接下来,图4中绘制了cmc和C20(其γ值比纯水的γ值降低20 mN/m时的表面活性剂浓度)与pH的关系图。这两个值在较低pH值区域也降低,尽管SDS的pH值不随pH值而变化(数据未显示)。此外,如该图中cmc/C20比率的曲线图所示,这些比率在pH值小于7.3的区域内增加。该比率的增加通常意味着亲水性头基的尺寸增加和/或表面活性剂的反离子与头基的结合更紧密[11]。
图2界面张力(γ)与由50 mM磷酸盐和硼酸盐缓冲液控制的不同pH下总SLAS摩尔浓度(CS)的对数关系图
图3 CS=1.0和25mm时界面张力(γ)与pH的关系图:白色crcles 1.0mm SLAS,白色三角形1.0mm SDS,黑色圆圈25mm SLAS,黑色三角形25mm SDS
图4 cmc、C20和cmc/C20比值与pH的关系图:白色圆圈cmc、黑色菱形C20、黑色圆圈cmc/C20
表面活性剂的最大界面过量浓度(Γmax)由吉布斯吸附方程估算如下[11]:
其中CS、R和T分别为表面活性剂总浓度、气体常数和温度。由于所有样品溶液都含有过量的钠盐作为缓冲液并保持在恒定pH值,因此i值(浓度随表面活性剂浓度变化的离子种类数)取为1。图5中绘制了最大值与pH值的关系图。最大值在小于7.3的pH值下显着增加,与cmc/C20比值的值相同。这些结果肯定表明,当pH值降至7.3以下时,在溶液表面用H+替换SLAS的Na+,也就是说,在pH值>7.3时,NDO癸酰基肌氨酸阴离子的反阳离子(LAS−)是空气-水界面处的所有Na+。因此,估计了H+LAS的pKa值−另一方面,在含水体中,XVDEVIOS官方下载免费版根据不同SLAS浓度下的pH值,确定了含水体相中HLAS的pKa值为3.3,该pH值在氮气鼓泡的去火纯水中。虽然XVDEVIOS官方下载免费版还无法确定组装的HLA的确切pKa值,因为尚未获得HLA的最大值,但毫无疑问,其值大于含水体相中HLA单体的值3.3。一些文献也报道了自组装过程中pKa值的增加[12,13]。
图5 SLA的最大界面过量(Γmax)与pH的关系图
由于LAS的反阳离子−XVDEVIOS官方下载免费版研究了铊阳离子(Tl+)的加入对界面张力的影响。贱金属的铊作为单价阳离子存在于水溶液中,其离子化倾向在Na+和H+之间,因此它形成了比Na+更强的离子对,而且Tl+在界面上的吸附量也比Na+。添加Tl2SO4后,在pH 5.5和8.0下测量了SLA的界面张力(图6),其中界面应首先被H+LAS覆盖−和Na+LAS−,分别地已在cmc的两侧检查了反阳离子的影响,即,对于pH 5.5,SLAS摩尔浓度保持恒定在2.5或3.5mM,对于pH 8.0,保持恒定在3.0或4.0mM。根据该图,与pH 5.0相比,在pH 8.5添加Tl+时,界面张力显着降低,并且它达到大约70mm的Tl+的几乎恒定值,其中几乎所有Na+必须在界面处被Tl+替换。由于pH值为5.5时反阳离子为H+,预计用Tl+取代H+会使界面张力增加,接近Tl+LAS的值−.然而,由于在pH 5.5时界面张力甚至降低,因此不能进行这种置换。在许多离子表面活性剂体系中观察到,加入Tl2SO4后,离子强度增加可能会导致γ值的这种小幅度降低。因此,可以得出结论,LAS的界面张力−通过不同的反阳离子,其顺序为Na+>Tl+>H+。在两个pH值下,由于cmc也随着离子强度的增加而降低,因此CScmc处的曲线图。
图6不同pH值下取决于Tl+摩尔浓度的界面张力(γ)曲线图:pH=8.0时,SLAS的白圈3.0mm和黑圈4.0mm,pH=5.5时,SLAS的白圈2.5mm和黑圈3.5mm
聚合特性
为了评估胶束(Nagg)的聚集数,XVDEVIOS官方下载免费版使用带有猝灭剂(HPYL)的探针(Py)的稳态荧光猝灭方法[8]。已发现该探针-猝灭剂对适用于评估几种胶束系统的Nagg[14,15]。Cs=25 mM时的评估Nagg值如图7所示。如图所示,Nagg数值总体上随着pH值的增加而降低。然而,似乎在pH 6.5-7附近也存在一个断裂点。如果是这样,胶束中HLA的pKa预计在6.5到7.0之间,这也比水溶液中的pKa大,就像空气-水界面的结果一样。为了进行进一步讨论,XVDEVIOS官方下载免费版需要更精确地确定这些Nagg值。
图7 CS=25mM时SLAS胶束的聚集数(Nagg)与pH的关系图
为了研究胶束内部的微极化,XVDEVIOS官方下载免费版测量了溶解在胶束核中的芘的荧光[14]。这是通过在CS>cmc下监测芘的第一和第三振动峰(I1/I3)的荧光比来实现的。CS=10、15、20和25mm时测量的平均I1/I3值汇总在支撑材料中(图S1)。I1/I3值从1.15到1.19略有增加,pH值从5.5增加到接近7;也就是说,随着pH值的增加,胶束内部处于极性环境。这可能意味着LAS的亲水性头基−随着反阳离子从H+置换为Na+,胶束变得更加离子化。因此,由于头基团之间的排斥力增加,胶束失去了其紧密性。这一结果与Nagg值随着pH值的增加而降低一致。pH 9附近Nagg值的下降趋势也可能与I1/I3值的下降相关。
在CS=25mm时胶束的流体动力学半径(Rh)的值与载体材料中的pH作图(图S2)。该值在pH 6.0时约为2.6nM,在pH 6 6.5时降至2.4nM。在保持pH 6.5至7.0期间的值后,该值缓慢增加,并在pH 8时恢复到2.6nm。在pH 6-7.0的相对湿度值中看到的下降趋势可能与Nagg值的下降直接相关。另一方面,其从pH 7.0到8.0的增加趋势可能与周围胶束核的高微极性一致。在pH 7.0–8.0时,几乎所有反阳离子都变成Na+,因此Nagg和Rh值的下降趋势停止,并且由于亲水性头基之间的高排斥力,胶束开始膨胀。这可能会使胶束的微极性和相对湿度值有增加的趋势。
XVDEVIOS官方下载免费版还测量了CS=25mM时罗丹明B(RB)的荧光各向异性。这些值与pH值的关系如图8所示。如图所示,各向异性值明显降低,直到pH值为7,并在pH>7时保持恒定。这一结果还反映在胶束亲水性头基中的反阳离子从H+置换为Na+上。由于探针RB可以想象地存在于胶束的亲水壳附近,比存在于其疏水核中更有利,因此LAS亲水头之间的排斥力增加−直接导致RB各向异性的降低,即亲水性壳变得不那么致密并失去其紧密性。考虑到报道的RB羧基的pKa值为5.5±1.0[16],RB的酸离解导致各向异性值降低的可能性很小。因此,预期这些各向异性数据直接揭示了H+LAS酸解离平衡的影响−在胶束中,界面过剩数据反映了空气-水界面的过剩数据,如图5所示。比较这些结果,胶束中的pKa值可能比界面处小约0.5。无论如何,这两个值都大大大于含水体中的值。自组装聚集体的pKa值通常大于自由单体[12,13]。
图8:若丹明B在SLAS胶束(r)处的荧光各向异性与CS=25mM时pH的关系图
结论
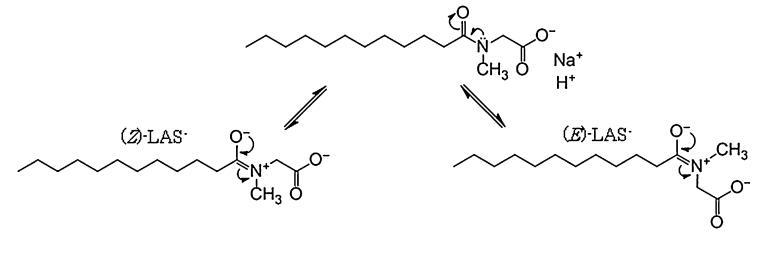
Bordes等人研究了氢键对甘氨酸盐和肌氨酸盐自组装的影响[17]。Gad等人研究了具有不同碳链长度的N-酰基肌氨酸盐的界面张力[3]。还对含有SLA的二元混合物与Gemini表面活性剂[18]和阳离子聚合物[19]进行了一些界面研究。然而,这些研究没有考虑它们的pH影响。Tsubone等人在pH值为10.5[20]时对SLA进行了界面张力测量。然而,SLAS水溶液的界面张力在很大程度上取决于pH,在胶束前和胶束后区域中,当pH小于约7时,其值显着下降。cmc和C20在较低pH下也会降低,但cmc/C20比在pH<7.3时增加。该比值的增加通常意味着亲水头的尺寸增加和/或与反阳离子的缔合增加。在pH<7.3时,Γmax也急剧增加。这些结果清楚地表明,在空气-水界面的较低pH区域,SLA的Na+阳离子被H+取代。向溶液中加入Tl+,证实LAS的界面张力−并且它们以H+<Na+的顺序增加,这与这些结果一致。此外,XVDEVIOS官方下载免费版使用1H-NMR和13CNMR研究了D2O和CD3OD中HLA和SLA的结构差异。根据这些结果,例如,来自LAS亲水部分中1小时的所有信号−可以想象,HLA和SLA都具有共振结构,(Z)-LAS−和(E)-LAS−,如图9所示。通过NMR[21,22]的胶束化也报告了这些SLAS异构体的存在。根据分裂峰的积分比,Z/E形式的丰度比确定为SLA为1:1,HLA为2:1。由于E型比Z型体积大,这可能是Γmax随pH值增加而减小的第二个原因,直到pH值为7.3。另一方面,除了RB的各向异性(在pH<7时明显增加)外,含水体中的胶束性质对pH的依赖性小于界面性质。然而,在pH值降低时,聚集数和流体动力学半径的小幅度增加趋势以及胶束核的微极性的减小趋势可以很好地解释为LAS亲水性头基团之间的静电力减小−由Na+到H+的反阳离子置换引起,与界面性质的情况相同。虽然XVDEVIOS官方下载免费版尚未确定界面和胶束中HLA的pKa值,但这些值应大于水溶液中的pKa值(pKa,bulk=3.3);界面处的值可能略大于胶束中的值。pH<7时体积较小的Z型的增加也与胶束性质相容,并可能与胶束亲水部分附近RB各向异性的增加直接相关。
图9 LAS的谐振结构
致谢
XVDEVIOS官方下载免费版感谢H.Tsukube教授(日本大阪城市大学科学研究生院)在稳态荧光和动态光散射测量方面的帮助,感谢T.长崎教授(日本大阪城市本科工程研究院)在荧光各向异性测量方面的协助,也感谢Y.教授。Morimoto(日本大阪城市大学科学研究生院)对共振结构(Z)-LAS的讨论发表了有益的评论−和(E)-LAS−.PS感谢日本科学促进会(JSPS)授予博士后奖学金。





