XVDEVIOS官方下载免费版,XVDEVIOS破解版安卓手机安装包,XDEVIOS官方免费版安装,XVDEVIOS中文版安装包

芬兰Kibron专注XVDEVIOS破解版安卓手机安装包测量技术,快速精准测量动静态表面张力

热线:021-66110810,66110819,66110690,13564362870 Email: info@vizai.cn

合作客户/

拜耳公司.jpg

拜耳公司

同济大学

同济大学

联合大学.jpg

联合大学

宝洁公司

美国保洁

强生=

美国强生

瑞士罗氏

瑞士罗氏

当前位置首页 > 新闻中心

一滴水缓慢落到非常光滑的平面上,接触面积会有多大?

来源:知乎 阿黄sweetgirl 浏览 2718 次 发布时间:2021-07-29

此问题中,其实绝对光滑不太合适,一般可以考虑原子级别的光滑就已经可以使用(或可以看做没有接触角滞后现象)。为了让解析式简便,此题转化为:


如果将体积为V的液体水滴落到原子级别光滑的光滑固体表面上,设固体表面对水的接触角为θ,那么液滴稳定后,液滴与固体之间的接触面积S有多大?


下面我仅仅使用参数V和θ,以及水的物性常数找出S的简单解析式。


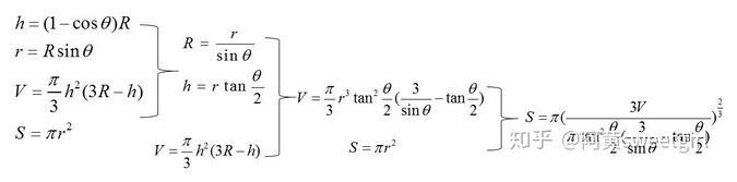
首先,此题必须分为两种情形。第一种,是液体V很小时,此时表面张力占主导地位。此解法宫非前辈已经给出,但是其解析式不够简化。因此我进一步加以简化。当表面张力占主导时,液滴成完美的球缺状,如图1所示。

图1液体体积很小时,毛细作用力占主导的情形,液滴呈球形


此时根据球的体积公式,以及简单的三角函数变换,就可以得出S与V和θ的关系,具体推导过程如图2所示。

图2接触面积S的推导过程


此时可以看出,S与V的2/3次方是正比例关系。对于自然界任何光滑的表面,接触角处于0到122°的范围内,可以绘出S与θ的关系,如图3所示。

图3接触面积随着接触角的变化关系


上图是接触角从5°到120°范围内的接触面积的变化关系,基本上涵盖了自然界中的大多数物质的光滑固体表面。


然后再是第二种情形,就是液体体积很大,此时表面张力很弱,重力占主导地位的场景。此时,液滴在光滑固体表面的呈现出扁平状。如图4所示。

图4液体体积很大的情形


有意思的是,已经有前人对这种情形做过详细的受力分析。得出只要接触角一定,此时无论加多少水,液体的厚度e都不会增加,只会增加铺展的面积。其厚度e的表达式为:

式中,γ为表面张力,p为密度,g为重力加速度。


由于此时,表面张力影响很小,液膜可以看成均匀的厚度,所以满足


V=Se


从而可以推出:

图5液体接触面积的推导公式。


至于具体的推导e的过程,可以见如下分析:



参考文献:Capillarity and Wetting Phenomena书籍。

网站地图