XVDEVIOS官方下载免费版,XVDEVIOS破解版安卓手机安装包,XDEVIOS官方免费版安装,XVDEVIOS中文版安装包

芬兰Kibron专注XVDEVIOS破解版安卓手机安装包测量技术,快速精准测量动静态表面张力

热线:021-66110810,66110819,66110690,13564362870 Email: info@vizai.cn

合作客户/

拜耳公司.jpg

拜耳公司

同济大学

同济大学

联合大学.jpg

联合大学

宝洁公司

美国保洁

强生=

美国强生

瑞士罗氏

瑞士罗氏

当前位置:首页 > 新闻中心

表面活性剂溶液的界面扩张流变学

来源:赛杰奥 浏览 2164 次 发布时间:2022-09-09

本书以国家科技重大专项的科研成果为基础,以表面活性剂溶液的界面扩张流变学研究为核心,全面介绍界面扩张流变学的概念、理论基础、方法、仪器和数据处理,系统分析模量、相角、弹性、黏性等界面流变参数的时间、频率和浓度依赖性与界面膜性质的关系,探讨界面弛豫过程的特征参数;分类描述了阴离子表面活性剂、阳离子表面活性剂、非离子表面活性剂、两性离子表面活性剂和Gemini表面活性剂在空气-水和油-水界面的扩张流变性质;重点阐释了通过界面扩张流变学研究手段获得流体界面吸附分子相互作用及微观行为的方式。

表面活性剂在生产实践和日常生活中应用广泛,它通过在溶液中形成聚集体和在界面上形成吸附膜,改变溶液和界面性质,发挥着“工业味精”的巨大作用。表面活性剂在流体界面上的吸附,与乳状液和泡沫生成和稳定密切相关,而界面膜的强度是决定性因素。由于流体界面吸附膜与体相存在扩散交换的开放体系,对界面膜强度的有效表征一直是学术界的难题,直到流体界面流变学飞速发展,这一难题才得到根本性的解决。

表面活性剂界面扩张流变学研究在理论和实践上均具有重要意义。理论上:长期以来,表面活性剂分子在流体界面上的吸附机制、相互作用强弱、聚集体形成等界面行为和过程中缺乏有效的研究手段,界面扩张流变学研究是探索界面微观行为的有力工具。实践上:界面扩张流变参数能够表征界面吸附膜的强度,与乳状液和泡沫的稳定性直接相关,能够指导生产实践。更为重要的是,界面扩张流变学研究是新兴的领域,国内尚无相关专著。

在国家973计划和国家科技重大专项的资助下,中国科学院理化技术研究所和胜利油田的联合研究团队在表面活性剂界面扩张流变学领域进行了长期的探索,获得了一定的成果。将这些成果总结成书,期待为推动我国流体界面流变学的发展尽微薄之力。

流体界面扩张流变学还处于快速发展之中,因此本书主要介绍其方法和应用实例,构架复杂的新型研究手段与应用之间的桥梁,让具有基础化学知识的读者掌握界面扩张流变研究手段。本书以表面活性剂溶液的界面扩张流变学研究为核心,全面介绍界面扩张流变学的基础知识,分类描述不同类型表面活性剂在空气-水和油-水界面的扩张流变性质;重点阐释通过界面扩张流变学研究手段获得流体界面吸附分子相互作用及微观行为的方式。在本书写作上,避免烦琐的数学推导和理论描述,以界面扩张流变方法的物理化学意义和仪器应用为重点,强调可操作性。

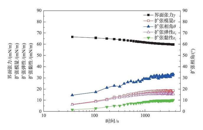
表面活性剂溶液的动态界面张力、扩张模量、扩张相角、扩张弹性和扩张黏性随时间变化曲线

界面扩张流变参数与频率的关系(悬挂滴方法)

界面扩张流变参数与浓度的关系(悬挂滴方法)

C16G(EO)3PC表面排布方式的变化

黑色曲线代表烷基链;灰色曲线代表EO基团

C16GPB表面排布方式的变化

全书共六章,在编写过程中力求做到系统性、科学性和实用性的统一。在叙述上力求深入浅出,其主要成果来源于胜利油田化学驱技术研究及现场应用成果,同时吸收了国内外同行近年来研究的最新成果。

相关书籍:

本书可为大专院校物理化学专业的师生、提高石油采收率相关研究人员和工程技术人员提供指导,对于研究领域涉及流体界面和两亲性分子的所有研究人员也有一定的借鉴意义。

本文摘编自《表面活性剂溶液的界面扩张流变学》【曹绪龙 张 路 祝仰文 王红艳 潘斌林 元福卿 编著.北京:科学出版社,2021.09】一书。

网站地图