XVDEVIOS官方下载免费版,XVDEVIOS破解版安卓手机安装包,XDEVIOS官方免费版安装,XVDEVIOS中文版安装包

芬兰Kibron专注XVDEVIOS破解版安卓手机安装包测量技术,快速精准测量动静态表面张力

热线:021-66110810,66110819,66110690,13564362870 Email: info@vizai.cn

合作客户/

拜耳公司.jpg

拜耳公司

同济大学

同济大学

联合大学.jpg

联合大学

宝洁公司

美国保洁

强生=

美国强生

瑞士罗氏

瑞士罗氏

当前位置:首页 > 新闻中心

为什么泼在地上的水很快就干了,而洗完的衣服却不容易晾干?

来源:萌铁蛋 MnFeN 浏览 2118 次 发布时间:2021-08-28

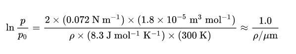
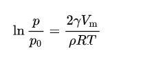
化学热力学化学动力学方面就不说了,说一个不太一样的。为什么泼在地上的水很快就干了,而洗完的衣服却不容易晾干?并不是由于比表面积不同,衣服就只是一层布料,比表面积同样很大。而是因为液滴的蒸气压与它表面的曲率半径有关。这一关系由开尔文方程描述:

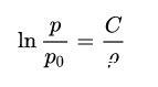
听说公式会让人不想看科普所以我只讲这一个公式好了(x)其中,R是通用气体常量,T是温度,ρ是液滴表面的曲率半径。p₀是表面平整的液体原本的蒸气压,p是这个液滴的蒸气压。p₀、表面张力γ、液体摩尔体积V_m对于同种温度的同种液体可以认为近似是常量。把以上常量合并为常量C,所以在同样温度下,对于同种液体,可以得出如下的半定量关系:

即:

对于泼在地上的水,表面几乎平整,曲率半径近似无穷大,上式的幂趋近于0,指数项趋近于1,所以蒸气压就等于纯水的蒸气压(p=p₀)。而下图展示的是一个表面的纵切图,左侧是桌面上的一个水滴,中间是桌面上一个凹陷裂缝中的水,右侧是类似墙角、桌角等地方的积水。

对于桌面上的一个小水滴,表面凸出,曲率半径为正值,上式的幂为正,指数项大于1,即p&gt;p₀,所以小水滴比相同比表面积的纯水具有更大的蒸气压,挥发得更快。而对于凹陷处的水,由于液体的表面张力(类似毛细现象),它们会形成一个凹液面,曲率半径为负,所以上式的幂为负,指数项小于1,即p < p₀ ,所以凹陷处等位置的具有凹液面的水比纯水具有更小的蒸气压,挥发得更慢。回到晾衣服的问题:衣服布料的细小纤维中存在显著的毛细现象,水会浸润其中,并形成曲率半径很小(负数,绝对值很小)的凹液面,显著降低了液体蒸气压,所以衣服并不容易被晾干。


所以从上式分析:衣服怎么样能更快晾干呢?对p有影响的物理量有:饱和蒸气压p₀,表面张力γ,液体摩尔体积V_m,曲率半径ρ,温度T,气体常量R。改变温度:最简单的烘干衣服。注意温度同时也改变了表面张力、饱和蒸气压p₀等很多物理量,一举多得……虽然这个解决办法是废话(x)改变表面张力、摩尔体积、饱和蒸气压:这相当于改变液体的性质,换句话说是换了一种液体。虽然水洗是很难晾干的,但是干洗就利用了这个原理,更换了其它溶剂,蒸气压大幅提高,室温下很快就挥发干了。另外一些无机合成实验中水溶液里面结晶出来的粉末产物先用酒精洗涤再用乙醚洗涤最后再干燥也是这个原理(划掉)改变曲率半径ρ:曲率半径取决于液体与衣服材质的浸润程度,从而改变接触角。如果选用不能很好地被水浸润的布料,那么表面张力的作用就会被削弱,形成更平一些的凹陷表面(曲率半径的绝对值增大),从而使衣服中水的蒸气压提高,速干衣物就利用了这一原理。


改变气体常量R:把那个试图修改宇宙规律的拖出去(x)

更新一下计算过程:以上公式代入了常温下水的数据。由此可见,只要随着蒸发过程的进行,水滴曲率半径μ的绝对值达到微米尺度,就可以显著减小水滴的蒸气压。

网站地图