合作客户/
拜耳公司 |
同济大学 |
联合大学 |
美国保洁 |
美国强生 |
瑞士罗氏 |
相关新闻Info
-
> 揭示界面张力在钙钛矿晶体生长过程中作用机理
> 应用荧光显微镜研究了蛋白质在气-水界面的组装——摘要、介绍
> 应用单分子层技术分析磷脂酶与不同磷脂底物特异水解性能:摘要、介绍、材料和方法
> 不同稠油下油相中芳烃含量、水相pH值对油-水界面张力变化规律
> 混合型生物洗油菌发酵上清液的表面张力值测定(二)
> 考虑界面张力、液滴尺寸和液滴变形影响的携液临界模型构建(二)
> 表面张力对疏水微结构表面减阻的影响
> 超低界面张力环保型高温高盐油藏的驱油表面活性剂配方比例及制备(一)
> 高压CO2对表面活性剂水溶液与原油界面张力、原油乳化的影响——摘要、实验部分
> 基于表面光散射法的棕榈酸甲酯/乙酯高温表面张力与黏度测量(三)
推荐新闻Info
-
> 表面张力对机械结合面接触载荷、真实接触面积以及接触刚度的影响规律(四)
> 表面张力对机械结合面接触载荷、真实接触面积以及接触刚度的影响规律(三)
> 表面张力对机械结合面接触载荷、真实接触面积以及接触刚度的影响规律(二)
> 表面张力对机械结合面接触载荷、真实接触面积以及接触刚度的影响规律(一)
> 一种改进的CSF模型:用于SPH流体仿真的光滑表面张力模拟(二)
> 一种改进的CSF模型:用于SPH流体仿真的光滑表面张力模拟(一)
> 减弱贾敏效应的方法|表面活性剂改善贾敏效应实验
> 贾敏效应实验方法与步骤、结果
> 贾敏效应机理、影响因素及其在低渗透油藏开发中的危害(一)
> 面向高效环保灭火剂的界面张力最小化:短链氟碳复配体系的设计与解析(四)
各种测量ILs汽化焓对比:表面张力法、热重法、简单相加法、 基团贡献法……(一)
来源:化工学报 浏览 1630 次 发布时间:2024-08-16
离子液体(ionic liquids,ILs)是由阴阳离子组成的低温熔融盐,熔点一般低于100℃,熔点低于室温的离子液体叫做室温离子液体(room temperature ionic liquids,RTILs)。ILs的蒸气压极低、难以挥发[1]、导电能力强[2]、不可燃[3]、黏度高、性质稳定[4],是良好的催化剂[5-8]、溶剂[9-11]、润滑剂[12-15]、电解质[16-19]、吸附剂[20-25]等,具有很好的工业前景。
由于ILs多样化的性质和可设计的特性,人们可以通过调控其阴阳离子的结构来调节其性质,设计出功能化的ILs,以达到自己的目的,因此ILs也被称为“可设计的溶剂”,除此之外,ILs还被称为“室温熔融盐”、“流动的盐”等[26-27]。
早在1914年,Walden[28]为得到在室温下呈液态的熔融盐,发现[EtNH3][NO3]的熔点为12°C,这也是第一种质子型ILs。1951年,Hurley等[29]将1-烷基吡啶卤化物与无机盐(例如金属卤化物)混合,发现了1-乙基溴化吡啶氯化铝(摩尔比为2∶1的混合物[C2py][Br-AlCl3])在室温下为液态,还为该系统下的低共熔物创建了相图。1978年,Osteryoung等[30]发表了关于1-丁基吡啶氯化物-氯化铝混合物(BPC-AlCl3)的文章,这种物质是对Hurley等[29]合成的氯化物-溴化物ILs体系的改进。在这之后,人们又发现了许多不同结构的ILs,了解了它们多样的性质,人们尝试将ILs应用在各种领域,并且取得了较好的成果。ILs逐渐引起了人们的浓厚兴趣,人们对ILs的性质进行了深入的研究[31]。
ILs的热力学性质中,汽化焓是重要的热力学量,它可以衡量物质汽化的难易程度,帮助构建精确的分子模型,深入了解ILs的性质,开发新型ILs合成技术和路线,拓展ILs在工业上的应用。人们曾经认为,ILs不产生可测量的蒸气压,因此不能被蒸馏,也无法获得它们的汽化焓[32-34],它们会在高温下分解,如[C4mim][PF6]会在T>470 K的真空中分解[35],这严重影响了人们对ILs行为和性质的研究。
近年来,人们发现ILs可以汽化,并逐渐提出了不少方法来测量它们的摩尔汽化焓。鉴于目前还缺少对ILs汽化焓测量方法的系统性整理,本文回顾了以往的相关工作,总结了测定ILs汽化焓的不同方法,以期为今后深入研究ILs提供参考。
1实验测定方法
1.1直接测量法
1.1.1 Knudsen法(Knudsen method)2005年,Rebelo等[36]证明了1-正丁基-3-甲基咪唑双(三氟甲磺酰基)酰胺[C4mim][Tf2N]可以蒸发而不会分解。
在此基础上,Kabo等[37]在2005年通过实验测得了[C4mim][Tf2N]的蒸气压,他们使用了Knudsen法[38-39],得到了在温度范围458~517 K内ILs蒸气压的温度依赖性。
Knudsen方法适用于高沸点物质蒸气压的测定。人们发现,物质在恒温过程中的质量损失取决于温度、膜的参数、蒸气压和化合物的性质。Knudsen方法中计算蒸气压的公式为
式中,Δm是经过一段时间τ后的质量损失;S是孔的面积;k是透射系数;M是蒸气的摩尔质量;S'是液体的表面积(假定等于电池的横截面积);α是汽化系数,通常情况下,液体的α=1。
得到蒸气压之后,通过Clapeyron-Clausius方程计算得到[C4mim][Tf2N]在487 K的摩尔汽化焓为ΔvapH487=(120±5)kJ·mol-1[37]。
2006年,Kabo等[40]发现[Cnmin][Tf2N]系列ILs的热稳定性和挥发性之间存在着平衡,这种平衡能够给出足够的温度区间来测量它们的蒸气压,从而得出它们的汽化焓数据。因此他们用Knudsen法测出[Cnmim][Tf2N]的蒸气压,通过IR光谱证明ILs在测量过程中没有分解,通过蒸气压计算得到了样品的汽化焓。这个工作开创了测量ILs汽化焓的先河,后人开发的测量方法都受其影响。
1.1.2真空汽化滴微量量热法(vacuumvaporization drop microcalorimetric method,VVDM)
早在1975年,Adedeji等[41]通过在高温下热分解和量热法测量了一些芳烃三羰基铬化合物形成的标准焓的值,并且用微热量真空升华技术(microcalorimetric vacuum sublimation technique)测定了有机化合物的升华焓ΔHsub(298 K)。
而2004年,Santos等[42]构建和测试了一种新的通过滴落法(drop method)测量升华焓的系统,并将Tian-Calvet型热通量热量表用于确定升华焓。
2007年,Santos等[43]参考了Kabo等[40]的工作,选取了热力学性质稳定的[Cnmim][Tf2N](2≤n≤8)作为样品,参考前人的工作,用真空汽化滴微量量热法来测量ILs的汽化焓。将10 mg的ILs插入一端密封的薄玻璃毛细管中(每个为25~30 mg),在298.15 K时将它们加入热量计的热区,该热量区保持577.8 K。当热流信号达到热流峰值的5%左右时,说明在热区达到了热平衡,通过真空蒸发将液体从热区完全除去。而该过程的总焓变可以通过进入量热仪的热流的时间积分来测量。总共分为两个吸热过程:一是样品从初始温度加热到热区温度产生的焓变,二是样品在特定的热区温度下汽化产生的焓变,而后者就是ILs在特定温度下的汽化焓。
1.1.3质谱法(mass spectrometry method,MS)
2007年,Armstrong等[44]展示了使用质谱技术对ILs蒸气的研究,他们确定了蒸气的性质、液体的汽化热,并推导了将汽化热与ILs的摩尔体积关联的静电模型。他们将ILs薄膜在程序升温脱附(temperature programmed desorption,TPD)中进行热蒸发,通过视线质谱(line-of-sight mass spectrometry,LOSMS)分析蒸气。在液膜蒸发期间,通过LOSMS观测到的表面内离子对的数量保持恒定,因为液面不断从大部分液膜中补充,可以视作零级反应,从而计算解吸过程的活化能。而当蒸发在真空中发生时,膨胀的气体不起作用,所以活化能就等于蒸发的内能。
综合考虑库仑力和范德华作用力,经过一系列复杂的推导,得到了[Cnmim][Tf2N]汽化焓ΔvapH298的计算公式
式中,ΔUC,0.85(Vm,n)是摩尔体积为Vm,n时的库仑能;Vm(HCn)和ΔvapH298(HCn)分别为直链烃CnH2n+2的摩尔体积和汽化热;Vm,n为[Cnmim][Tf2N]的摩尔体积。
这些数据与Kabo等[40]使用Knudsen渗出法获得的数据非常一致,但低于Santos等[43]使用微量热法测量的蒸发热。总而言之,他们认为离子液体以离子对的形式蒸发,而汽化热主要取决于液相和气相离子对之间的库仑相互作用。
2009年,Deyko等[45]用这种方法测定了更多物质的汽化焓,包括四个咪唑[Cnmim]+、五个吡咯烷[CnPyrr]+、两个吡啶[CnPy]+和[Cn(mim)2]2+为基础的十二种ILs,这些阳离子与一系列阴离子[BF4]-、[FeCl4]-、[N(CN)2]-、[PF3(C2F5)3]-、[FAP]-、[(CF3SO2)2N]-、[Tf2N]-和[SCN]-配对。他们证明了汽化焓可以分解为三个成分:第一个成分是离子之间的库仑相互作用ΔU,第二和第三个成分是阴离子和阳离子的范德华贡献ΔHvdW,A和ΔUvdW,C。
2010年,Lovelock等[46]对这种方法进行了改进,能够在更低的温度下测量ILs的蒸气压。
1.1.4热重法(thermogravimetric approach,TGA)
2002年,Chatterjee等[47]使用热重法测量了羟基苯甲酸衍生物的蒸气压曲线,建立了用热重法测量物质汽化焓的方法。
2008年,Dai等[48]利用TGA法测量了ILs的摩尔汽化焓。他们以阳离子1-正烷基-3-甲基咪唑[Cnmim]+(n=2,3,4,6,8,10)和阴离子双(三氟甲磺酰基)酰胺[Tf2N]-或双(全氟乙基磺酰基)酰胺[beti]-配对的ILs作为样品,基于Langmuir公式[49]和Clausius-Clapeyron公式,假设汽化焓与温度无关[50-51],经过一系列公式推导,得出了失重速率dm/dt、温度T和摩尔汽化焓ΔvapH的关系式
将ln[(T)1/2(dm/dt)]对1/T作图,通过直线的斜率求出ILs的汽化焓ΔvapH。
这种方法所需设备常见、操作过程简便、具有广阔的应用潜力[48]。2012年,Verevkin等[52]也提出了类似的TGA法测量ILs的汽化焓。
1.1.5直接紫外光谱法(direct UV-spectroscopic measurement,UV)
ILs的超低的蒸气压使得难以进行ILs蒸气的直接光谱测量。ILs蒸气的电子光谱数据的缺失极大地妨碍了人们对ILs独特分子结构的基本理解。先前已经报道了测量高温蒸气的紫外可见光谱的方法:主要是通过Cary14扫描分光光度计在类似蒸馏的环境中来测量样品气相的紫外可见吸收光谱[50]。2010年,Wang等[53]测量了八种ILs蒸气的紫外光谱,通过光谱数据计算得到了它们的汽化焓,与其他文献比较,差别不大。假设ILs蒸气的摩尔消光系数与温度无关,并且ILs蒸气的行为类似于理想气体,则Clausius-Clapeyron方程可用于关联紫外吸收强度与测量汽化焓时温度之间的关系
式中,C为常数;A为紫外线的吸光度;T为温度;ΔvapH为汽化焓。
将ln(AT)对1/T作图,回归线性方程,从斜率可以得出ILs的汽化焓数据。
这种直接的紫外光谱方法可以原位对ILs蒸气进行表征,并具有简单、方便和高效的优点。在这项工作中开发的光谱方法可以用作为探测气态ILs形态的特殊工具[53]。
1.1.6石英晶体微量天平法(quartz crystal microbalance method,QCM)
2011年,Verevkin等[54]使用新构建的石英晶体微量天平(QCM)真空装置开发了一种测定极低挥发性ILs汽化焓的新方法。众所周知,因为在石英晶体上沉积的固体厚度与共振频率之间存在的相关性[55-58],QCM可以成为测量固体沉积物的高灵敏度的质量传感器[59-61]。但由于液体膜厚度和频率非线性相关,将它用于测量液体较为困难。一般来说,需要知道液体沉积物在实验条件下的密度和黏度,才能正确确定石英晶体上的薄膜质量[62-64]。
QCM提供了一种测量正在蒸发的ILs的质量损失随时间变化的方法。
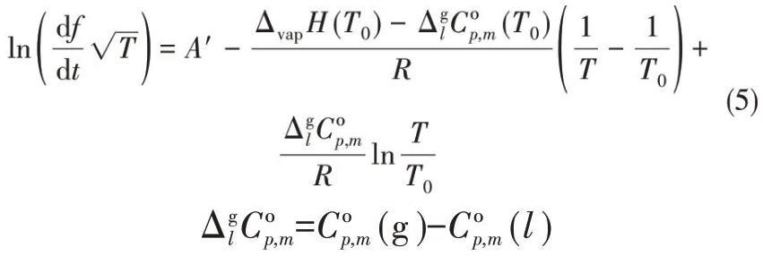
Verevkin等[54]开发了评估程序的物理基础,并使用1-乙基-3-甲基咪唑双(三氟甲磺酰基)酰亚胺[C2mim][Tf2N]进行测量,从而将蒸发焓的测量范围降低到363 K。和文献中已有的数据相比较,具有一致性。这项工作中开发的方法也为得到ILs的汽化焓开辟了一条新途径。经过一系列公式推导,构建了ILs的摩尔汽化焓、频率损耗率df/dt和温度的关系
QCM的灵敏度很高,与其他常规技术相比,可以将汽化研究的平均温度降低约100 K。这种方法也为得到ILs的汽化焓的可靠值开辟了一条新途径[54]。
1.1.7差示扫描量热法(differential scanning calorimetry method,DSC)
2013年,Verevkin等[65]用差示扫描量热法测定了吡啶和吡咯烷基ILs合成的反应焓和ILs的汽化焓。差示扫描量热法(DSC法)广泛用于化学反应的动力学和热力学研究,他们在之前的工作中报道了差示扫描量热法可以作为测量ILs热力学性质的合适的实验工具,能够间接得到汽化焓[66-67]。
在化学反应过程中出现的DSC峰面积是反应焓的量度。根据Hess定律,反应焓ΔrH定义为产物和反应物的生成焓ΔfH的差值,例如,对于反应Pyridine(liq.)+C4Br(liq.)=[C4Py][Br](liq.),有
式中,实验值ΔrH(liq.)exp由DSC法在液相中测得;气相中的反应焓的理论值ΔrH(g)由Gaussian 09软件计算得到。
DSC法结合实验方法和计算方法,推导了吡啶类ILs的热力学量,可以优化ILs的合成技术[65]。
1.2间接测量法——表面张力法(surface tension method)
由于ILs在较低的温度下就容易分解,因此直到2005年,Rebelo等[36]才在较低的压力下成功蒸馏了ILs,虽然蒸馏效率较低,蒸馏出的量较少,但是这证明了某些ILs能够在一定温度范围内蒸发而不分解,为测量ILs的蒸发焓提供了基础。
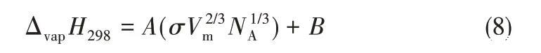
2006年,Kabo等[40]总结了摩尔体积、表面张力和摩尔汽化焓的关系,得出汽化焓的相关方程
式中,A和B是经验常数;σ是表面张力;Vm是分子体积;NA是阿伏伽德罗常数。在碳氢化合物中,B=(1.9±1.1)kJ·mol-1;羰基化合物中,B=(8.7±1.8)kJ·mol-1;醇类中,B=(22.6±1.3)kJ·mol-1。他们将此方程应用于ILs上,发现和分子动力学模拟结果较为符合。
用表面张力法估算ILs的汽化焓简单方便,结果准确,因此得到了人们广泛的应用:2007年,Tong等[68]用这种方法测得了金属ILs如[C5mim][InCl4]、[C6mim][InCl4]、[C5mim][GaCl4]、[C4mim][AlCl4]、[C5mim][AlCl4]的汽化焓。
2010年,Tong等[69]用它测得了[C2mim][B(CN)4]体系的汽化焓,并且全面探究了这种ILs的物理化学性质。
2018年,本课题组[70]成功用这种方法测量了金属螯合型离子液体[Cnmim][Cu(F6-acac)3]的汽化焓。
在表1中列出了不同实验测量方法得出的[Cnmim][Tf2N]体系的汽化焓数据,通过比较发现298 K时的汽化焓ΔvapH298在110~120 kJ·mol-1附近,高温下的汽化焓ΔvapHT在130~140 kJ·mol-1附近,而在较高温度下测定的汽化焓总是高于298 K时测定的汽化焓数据,这符合一般规律。
表1用不同实验方法测定的离子液体[Cnmim][Tf2N](n=2,4)的汽化焓





