合作客户/
拜耳公司 |
同济大学 |
联合大学 |
美国保洁 |
美国强生 |
瑞士罗氏 |
相关新闻Info
推荐新闻Info
-
> 表面张力对机械结合面接触载荷、真实接触面积以及接触刚度的影响规律(四)
> 表面张力对机械结合面接触载荷、真实接触面积以及接触刚度的影响规律(三)
> 表面张力对机械结合面接触载荷、真实接触面积以及接触刚度的影响规律(二)
> 表面张力对机械结合面接触载荷、真实接触面积以及接触刚度的影响规律(一)
> 一种改进的CSF模型:用于SPH流体仿真的光滑表面张力模拟(二)
> 一种改进的CSF模型:用于SPH流体仿真的光滑表面张力模拟(一)
> 减弱贾敏效应的方法|表面活性剂改善贾敏效应实验
> 贾敏效应实验方法与步骤、结果
> 贾敏效应机理、影响因素及其在低渗透油藏开发中的危害(一)
> 面向高效环保灭火剂的界面张力最小化:短链氟碳复配体系的设计与解析(四)
烷基糖苷聚氧丙烯醚制备过程、表面张力、泡沫去污乳化性能测定——结果与讨论、结论
来源:印染助剂 浏览 1495 次 发布时间:2025-03-04
2结果与讨论
2.1质谱
由图1可以看出,m/z315表示单糖苷的C8烷基糖苷,m/z343表示单糖苷的C10烷基糖苷,m/z477与m/z315相差M(162),162表示一个葡萄糖脱掉一个水的相对分子质量,APG0810的分子质量组成分析如表1所示。
表1中,C8-1为8个碳的醇和1个葡萄糖反应生成的APG,以此类推,C10-5为10个碳的醇和5个葡萄糖反应生成的APG。APG加成PO后相对分子质量会增加58的倍数。例如,在APG0810PE-5样品谱图中,分子质量489为C8-1加成3个PO的产品,535为C8-2加成1个PO的产品,621为C10-2加成2个PO的产品,1 119为C10-4加成5个PO的产品。结果表明PO基团已经成功引入烷基糖苷分子中,具体分析数据如表2所示。
表2烷基糖苷聚氧丙烯醚相对分子质量
2.2表面活性剂的性能
2.2.1平衡表面张力
平衡表面张力揭示了表面活性剂降低溶剂(通常是水)表面张力的能力。表面活性剂的许多应用都与平衡表面张力有关,例如起泡作用、润湿作用、铺展作用等。图2为APG0810PE-n和APG0810平衡表面张力随着质量浓度变化的关系图,图3、图4为APG1214PE-m和APG1214平衡表面张力随着质量浓度变化的关系图,相应的物化性能参数列于表3。
图2 APG0810PE-n和APG0810表面张力随质量浓度变化关系图
图3 APG1214PE-m和APG1214表面张力随质量浓度变化关系图
图4 APG1214PE-m表面张力随质量浓度变化关系图
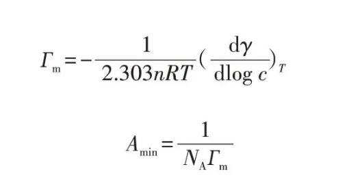
临界胶束浓度(cmc)、在临界胶束浓度处的表面张力(γcmc)、表面活性剂分子对气/液界面的吸附进而形成表面活性剂胶束(cmc/C20)可以从图2~图4曲线中得到;分子在气液界面上的最大饱和吸附量(Гm)和气/液界面上单个表面活性剂分子所占的最小截面积(Amin)可以说明表面活性剂分子在气/液界面上排列的疏密情况。Гm和Amin通过公式计算获得:
其中:T表示绝对温度,通常取298 K;R表示气体常数,通常取8.314 J/(mol·K);NA表示阿伏加德罗常数,通常取6.022×1023;n也表示常数,对于离子表面活性剂n取2,对于非离子表面活性剂n取1;dγ/dlogc是指在恒温情况下,表面张力γ随表面活性剂浓度对数logc变化的变化率。
由表3可以看出,APG0810PE-n的cmc、γcmc、Amin均高于APG0810,且随着PO添加量的增加而增大,PO基团的引入增加了分子的空间位阻以及被吸附分子在气/液界面所占的面积。因此,Гm会随之降低,并且随着PO基团的增加降低得更明显。同样,对于APG1214PE-m也有相同的趋势。
表3 APG0810PE-n、APG0810与APG1214PE-m、APG1214的物化参数
2.2.2润湿性能
润湿是人类生活与生产中的重要过程,例如机械润滑、粘附、注水采油、洗涤、清洗、印染、焊接等液体直接接触固体表面的过程皆与润湿作用有密切关系。因此,润湿性能是表面活性剂最重要的性能之一。在考虑润湿性能时,润湿速率是重要因素。采用动力学实验测量帆布片的下沉时间,时间越短,润湿性能越好。
由图5可以看出,APG0810PE-n和APG1214PEm的润湿时间随着PO加合数的增加而减少。这是因为表面活性剂在湿润帆布片时,PO基团的引入为分子提供疏水性,提高了分子与帆布片之间的疏水相互作用,促使分子易于吸附在帆布片表面,有利于润湿。而APG1214和APG1214PE-m的润湿时间比APG0810和APG0810PE-n长,说明随着碳链增长,润湿性能变差,这是因为分子长度增加打破了亲水亲油平衡状态,不利于润湿。
图5各样品的润湿时间变化图
2.2.3去污性能
污垢通过不同的相互作用力在物品表面附着,而应用表面活性剂去除的污垢一般是通过物理吸附(范德华力、偶极相互作用)或者静电作用而附着于物品上。去污力是指将固体表面浸泡在一定的液体介质中去除污垢的能力,使用洗涤剂减少污垢在固体表面的附着量,利用机械力使污垢与固体表面分离。由图6可以看出,无论是皮脂污布还是炭黑污布,制备的APG0810PE-n和APG1214PE-m的去污比值都低于对应的原料APG0810和APG1214,而且随着PO加合数的增加而降低,可能是由于PO基团的引入使得分子的疏水性提高。但整体来看,PO改性APG获得的产品去污性能仍处于较好的水平。
图6各样品去污力对比图
2.2.4泡沫性能
泡沫是气体在液体中的分散体系,气体成为气泡被连续相的液体分隔开,气体是分散相,液体是分散介质。在大规模的洗涤和印染工业中,泡沫给操作带来不便,因此新型的低泡表面活性剂越来越受关注。由表4可以看出,PO基团引入APG中明显地降低了泡沫的形成和稳定性,而且在相同PO加合数下,APG0810变化更明显,因此制备的系列样品属于低泡表面活性剂。
表4各样品的泡沫体积变化
2.2.5乳化性能
在2种互不相溶的液体中,一种液体以微滴状分散于另一种液体中形成的多相分散体系称为乳液。虽然影响乳液稳定性的因素非常复杂,但是可以对界面膜的作用进行研究。乳液是否稳定与液滴间的聚集密切相关,而界面膜是聚集的必经之路。
由图7可以看出,采用乳液破乳时间表征表面活性剂的油水界面性质,APG1214和APG1214PE-m乳化大豆油以及液体石蜡的能力胜于APG0810以及APG0810PE-n,而且随着PO加合数的增加而提高。这是由于PO基团和烷基链增长提供了疏水性,增强了乳化剂分子的乳化能力,延长了破乳时间。此外,所有表面活性剂乳化大豆油的能力均明显强于乳化液体石蜡,表明PO基团可能具有类似极性作用,可以增强样品与极性分子之间的协同作用,因此乳化性能更好。
图7各样品的乳化时间变化图
3结论
(1)以碳链数8/10、12/14的烷基糖苷(APG0810/APG1214)为原料,通过与环氧丙烷反应得到聚醚产物,并通过TOF质谱进行结构表征,结果表明PO基团成功引入烷基糖苷中。
(2)PO基团的引入使APG表面活性剂的性质发生了很大变化,分子的空间位阻增加,被吸附分子在气/液界面所占的面积增大,因此Гm随之降低,并且随着PO基团的增加降低得更加明显。
(3)PO基团的引入有效降低了APG产品的泡沫性能,与此同时样品保持了较好的乳化和润湿性能。产品更适用于需要低泡要求的工业、民用等领域,能够起到良好的节水节能效果。





