合作客户/
拜耳公司 |
同济大学 |
联合大学 |
美国保洁 |
美国强生 |
瑞士罗氏 |
相关新闻Info
推荐新闻Info
-
> 表面张力对机械结合面接触载荷、真实接触面积以及接触刚度的影响规律(四)
> 表面张力对机械结合面接触载荷、真实接触面积以及接触刚度的影响规律(三)
> 表面张力对机械结合面接触载荷、真实接触面积以及接触刚度的影响规律(二)
> 表面张力对机械结合面接触载荷、真实接触面积以及接触刚度的影响规律(一)
> 一种改进的CSF模型:用于SPH流体仿真的光滑表面张力模拟(二)
> 一种改进的CSF模型:用于SPH流体仿真的光滑表面张力模拟(一)
> 减弱贾敏效应的方法|表面活性剂改善贾敏效应实验
> 贾敏效应实验方法与步骤、结果
> 贾敏效应机理、影响因素及其在低渗透油藏开发中的危害(一)
> 面向高效环保灭火剂的界面张力最小化:短链氟碳复配体系的设计与解析(四)
钌催化剂合成丁炔二醇醚三硅氧烷表面活性剂反应条件及表面张力测定(二)
来源:北京化工大学学报(自然科学版) 浏览 1360 次 发布时间:2025-03-14
1.5 BEOTSS的结构表征
采用红外光谱仪测定样品的红外光谱,使用KBr涂膜法制样;采用核磁共振波谱仪测定样品的1H-NMR谱图,溶剂为氘代氯仿(CDCl3)。
1.6 BEOTSS的界面性能测定
将BEOTSS用超纯水配制成0.1%(质量分数)的水溶液,在25℃恒温下用XVDEVIOS破解版安卓手机安装包测定表面张力。25℃下超纯水的表面张力为72.0 mN/m,可作为校正仪器的基准。
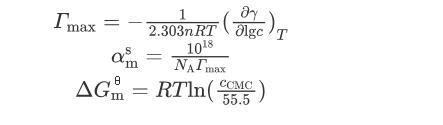
将BEOTSS配制成不同浓度的水溶液,测定其平衡表面张力,绘制表面张力γ与浓度对数lgc的关系曲线。当γ-lgc曲线出现转折时,转折点对应的浓度即为临界胶束浓度(CMC),对应的表面张力为γCMC。饱和吸附量(Γmax)、界面上每个表面活性剂分子所占的最小面积()以及胶束化标准自由能(Δ)由以下公式[1,21]得到。
式中:γ为表面张力,mN/m;c为表面活性剂的浓度,mol/L;T为温度,298 K;R为摩尔气体常数,8.314 J/(mol·K);n为与表面活性剂性质相关的参数,对于本文研究的非离子表面活性剂,n=1;N A为阿伏加德罗常数;c CMC为临界胶束浓度,mol/L。
2结果与讨论
2.1钌基和铂基催化剂的性能比较
分别以三氯化钌、三(三苯基膦)二氯化钌、六水合氯铂酸和50%三氯化钌+50%氯铂酸为催化剂,在以下条件下合成BEOTSS:催化剂用量30 mg/kg(以Ru或Pt质量计),n(BEO)∶n(MDHM)=1.05∶1,反应时间6.0 h,反应温度100℃。测定MDHM转化率以及0.1%BEOTSS水溶液的表面张力,结果如表1所示。可以看出,这几种催化剂的效果均较好,MDHM转化率在97%以上,表面张力低于24 mN/m。其中,三氯化钌的催化效果与传统的氯铂酸相差不大,只是所得产物为黄色液体,比氯铂酸的产物颜色深。考虑到三氯化钌价格比氯铂酸便宜很多,因此采用三氯化钌作为催化剂具有很好的成本优势。
表1不同催化剂的MDHM转化率以及0.1%BEOTSS水溶液的表面张力
本实验在使用三氯化钌作为催化剂进行硅氢加成反应的过程中发现,先将BEO与催化剂在80℃下活化30 min,然后加入MDHM进行反应,所得产物的颜色比直接将原料一次性加入时所得产物的颜色浅很多。这是因为在硅氢加成反应前先使三氯化钌与BEO形成胶体,BEO中的C≡C不饱和键与钌催化剂形成络合物,活化后加入MDHM可快速进行硅氢加成反应,抑制副反应发生,故本实验采用先将BEO活化、再加入MDHM的方法进行硅氢加成反应。此外,实验发现,当无溶剂存在时,反应体系的颜色较深,所得产物不透明,稳定性差,放置易分层;当使用异丙醇作为溶剂时,不仅可以增强反应物之间的相容性,而且可以使反应生成的热量(硅氢加成反应为强放热反应)及时释放出来,反应体系的颜色较浅,所得产物透明、稳定。
2.2反应条件对MDHM转化率的影响
2.2.1催化剂用量
在n(BEO)∶n(MDHM)=1.05∶1、反应时间6.0 h、反应温度100℃的条件下,考察三氯化钌催化剂用量对MDHM转化率的影响,结果如图2所示。可以看出,随着催化剂用量的增加,MDHM转化率逐渐增大。当催化剂用量大于30 mg/kg时,MDHM转化率可达99%以上。与催化剂用量30 mg/kg相比,催化剂用量为40 mg/kg时MDHM转化率仅提高了0.25%,提升幅度不大,同时催化剂用量增加使得生产成本提高,产物颜色加深。综合考虑,本文确定适宜的催化剂用量为30 mg/kg。
图2催化剂用量对MDHM转化率的影响
2.2.2原料配比
在三氯化钌催化剂用量为30 mg/kg、反应时间6.0 h、反应温度100℃的条件下,考察BEO与MDHM的物质的量比对MDHM转化率的影响,结果如图3所示。可以看出,随着n(BEO)∶n(MDHM)增大,MDHM转化率先增大后减小,在n(BEO)∶n(MDHM)=1.05∶1时MDHM转化率最大。理论上Si—H键与C≡C键的物质的量比为1∶1,为了提高MDHM的转化率及利用效率,BEO可略微过量,但不宜过量太多,否则会导致MDHM转化率降低。这是因为BEO分子中存在C≡C不饱和键(炔烃),在钌催化剂的作用下发生以下副反应:MDHM分子中Si—H键的氢脱除交联,脱除的氢加成到C≡C键形成C=C双键,这些炔烃与烯烃在高浓度及高温下聚合成高分子,因此当BEO过量太多时容易发生聚合交联,使产品黏度增大而发生凝胶化,导致产物分层,稳定性降低。因此,本文确定适宜的n(BEO)∶n(MDHM)为1.05∶1。
图3原料配比对MDHM转化率的影响
2.2.3反应温度
在n(BEO)∶n(MDHM)为1.05∶1、三氯化钌催化剂的用量为30 mg/kg、反应时间6.0 h的条件下,考察反应温度对MDHM转化率的影响,结果如图4所示。可以看出,MDHM转化率随温度的升高而增大,这主要是因为Si—H键的反应活度受温度影响,温度越高越有利于其断裂。温度为100℃的MDHM转化率(99.05%)相较90℃的MDHM转化率(98.6%)仅提高了0.45%,提升幅度很小,这是因为反应温度过高会使催化剂的催化效率降低,产物颜色加深,但考虑到MDHM转化率须大于等于99%,因此本文确定适宜的反应温度为100℃。
图4反应温度对MDHM转化率的影响
2.2.4反应时间
在n(BEO)∶n(MDHM)为1.05∶1、三氯化钌催化剂的用量为30 mg/kg、反应温度100℃的条件下,考察反应时间对MDHM转化率的影响,结果如图5所示。由图5可知,随着反应时间的增加,MDHM转化率逐渐增大,当反应时间为6.0 h时转化率最大,继续增加反应时间MDHM转化率没有提高,并且增加了生产成本及能源消耗。因此,本文确定适宜的反应时间为6.0 h。
图5反应时间对MDHM转化率的影响





