XVDEVIOS官方下载免费版,XVDEVIOS破解版安卓手机安装包,XDEVIOS官方免费版安装,XVDEVIOS中文版安装包

芬兰Kibron专注XVDEVIOS破解版安卓手机安装包测量技术,快速精准测量动静态表面张力

热线:021-66110810,66110819,66110690,13564362870 Email: info@vizai.cn

合作客户/

拜耳公司.jpg

拜耳公司

同济大学

同济大学

联合大学.jpg

联合大学

宝洁公司

美国保洁

强生=

美国强生

瑞士罗氏

瑞士罗氏

当前位置首页 > 新闻中心

基于天然植物油的酰胺胺氧化合物的合成表征及表面性质——结果和讨论

来源:上海XVDEVIOS官方下载免费版 浏览 2835 次 发布时间:2021-10-11


三、结果与讨论


3.1 天然植物油酰胺胺的制备与表征 氧化物


蓖麻油酰胺氧化胺的通式及合成方法 棉籽油酰胺氧化胺见Scheme 1。


方案1 蓖麻油酰胺氧化胺和棉籽油酰胺的合成路线 氧化胺,其中R是蓖麻油和棉籽油的烷基链



衍生的氧化胺 6 来自天然植物油的也是一系列具有不同成分的化合物的混合物 烷基,其特征在于它们的 MS (g 1, 2) 和 IR 光谱(图 3)。 这些光谱特征的细节如下。 在所有情况下,光谱 获得的与这些化合物的指定结构一致。

图 1. 蓖麻油酰胺氧化胺的质谱图

图 2. 棉籽油酰胺氧化胺的质谱图

图 3. 蓖麻油酰胺氧化胺和棉籽油酰胺胺的红外光谱 氧化物


蓖麻油酰胺氧化胺:质谱,m/z=385.0、367.2、369.2和371.4分别为 归因于蓖麻油酰氧化胺(C18:1,含-OH)、亚油酰氧化胺 (C18:2)、油酰氧化胺 (C18:1) 和硬脂酰氧化胺 (C18)。 红外光谱 光谱 (KBr):3370.43 cm-1 处的谱带 对应于NH的伸缩振动 和-哦。 2923.92 cm-1 处的伸缩带 和 2855.27 cm-1 表征 –CH3 和-CH2 基团。 1,654.21 cm-1 处的伸缩带 表征 C=O 和 C=C 组。 1568.55 cm-1 处的伸缩带 表征 NH 基团,带在 1465.28 厘米 -1 分配给 C-H 的弯曲振动。 1271.07 的伸缩带 厘米-1 表征 C-N 组。 条带出现在 957.85 cm-1 对应于 N-O 的伸缩振动,表明氧化胺的形成。


棉籽油酰胺氧化胺:质谱,m/z:亚油酰氧化胺 (C18:2): 367.2, [M+H] + ; 棕榈酰氧化胺 (C16): 343.2, [M+H]+ ; 油酰氧化胺 (C18:1):391.1,[M+Na]+; 硬脂基棕榈油酰氧化胺 (C16:1):379,[M+K]+。 红外光谱 光谱 (KBr):3364.56 cm-1 处的谱带 对应于NH的伸缩振动 和-OH的残留水。 2923.92 cm-1 处的伸缩带 和 2855.27 cm-1 表征 –CH3 和 –CH2 基团。 1,654.21 cm-1 处的伸缩带 表征 C=O 和 C=C 基团。 1562.68 cm-1 处的伸缩带 表征 NH 基团,以及 1459.42 cm-1 处的谱带 分配给 C-H 的弯曲振动。 1276.35 cm-1 处的伸缩带 表征 C-N 组。 乐队出现在 963.52 厘米-1 对应于 N-O 的伸缩振动,表明氧化胺 形成。


3.3 表面活性


表面张力与氧化胺浓度(log c)的关系 图 4 绘制了 25 oC 下源自天然植物油的表面活性剂。 图 4 表面张力与表面活性剂对数的斜率有显着变化 浓度曲线,表明表面活性剂开始聚集成胶束 在大量水溶液中。

图 4. 表面张力与水溶液摩尔浓度的对数 蓖麻油酰胺氧化胺和棉籽油酰胺氧化胺在 25摄氏度


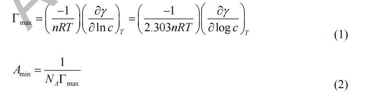
通过分析平台获得最小表面张力(γCMC)值 地块的区域。 确定临界胶束浓度 (CMC) 值 从表面张力的断点与浓度的对数 曲线。 最大表面过量浓度(Γmax)和最小表面积 (Amin) 在空气/水界面被每个表面活性剂分子占据的计算公式为 吉布斯吸附方程:

其中 R 是气体常数,NA 是阿伏伽德罗数,T 是绝对温度,并且 n 是溶质种类的数量,XVDEVIOS官方下载免费版可以将其设置为 1。 胶束化的自由能 (ΔGmic) 由等式 (3) 计算。

γCMC、CMC、Γmax、Amin 和 ∆Gmic 的值汇总在表 2 中。


表 2 蓖麻油氧化胺和棉籽油氧化胺的界面参数 25℃

由表2可知,蓖麻油酰胺氧化胺和棉籽油酰胺 氧化胺将水的表面张力降低到最小值约 在 5.06×10-5 mol/L 的浓度下为 32.48 mN/m,在 5.06×10-5 mol/L 的浓度下为 36.53 1.23×10-4 mol/L,表明它们的表面活性很高。 和....相比 一些已报道的氧化胺表面活性剂,[12] 如十六烷基二甲基 氧化胺、十八烷基二甲基氧化胺和椰油酰胺丙基二甲基胺 氧化物等,其CMC值通常在10-4范围内 ~10-3 mol/L, 这些 CMC 值较低。 这可能是因为几种酰胺的混合物 氧化胺具有协同增强的作用,提高了表面 活动总体上。 还可以发现,蓖麻油的 CMC 和 γ(CMC) 值 酰胺氧化胺远低于棉籽油酰胺氧化胺,后者 可能是由于蓖麻油酰胺氧化胺中存在-OH。 [13] 在 另外,从表 2 中的数据可以看出,蓖麻油的Γmax 值 酰胺氧化胺低于棉籽油酰胺氧化胺,而 前者的Amin值大于后者。 这一结果可能归因于 烷基链的长度。 此外,ΔGmic 的负值表明 9 在 25 oC 时,胶束化是自发的,这意味着这两种天然植物油 酰胺胺氧化物在空气-水界面有极好的吸收能力 在溶液中形成胶束。


3.4 乳化力


两种不同的液体短语不能混合在一起的现象是 由于表面活性剂的作用而能够混合的称为乳化。 这 乳化机理可以解释:表面活性剂的两亲特性 使其易于在油水界面吸附和富集,从而减少界面 张力并改变界面状态,所以"油"和"水"这两个词可以 不能混在一起,可以混在一起。 蓖麻油酰胺氧化胺与棉籽油酰胺的水分离时间 氧化胺列于表3中。


表3 合成的植物油酰胺氧化胺水分离时间 和对照样品 1202 和 AES

为了比较,还列出了正十二烷基二乙醇胺(1202)和醇醚硫酸钠(AES)的水分离时间。 从表 3 可以看出,在表面活性剂浓度为 0.1% 时,蓖麻油酰胺 氧化胺和棉籽油酰胺氧化胺有更长的水分离时间 比AES,这意味着合成的两种天然植物油酰胺胺 氧化物具有良好的乳化能力,尤其是蓖麻油酰胺氧化胺。 这 棉籽油酰胺氧化胺的乳化能力与1202相近。 还发现蓖麻油氧化胺的乳化能力优于蓖麻油氧化胺 棉籽油氧化胺,这也归因于平均烷基链长。 [14] 此外,作为乳化剂,它们可以在较宽的pH范围内使用。


基于天然植物油的酰胺胺氧化合物的合成表征及表面性质——摘要、介绍

基于天然植物油的酰胺胺氧化合物的合成表征及表面性质——实验程序

基于天然植物油的酰胺胺氧化合物的合成表征及表面性质——结果和讨论

基于天然植物油的酰胺胺氧化合物的合成表征及表面性质——结论、致谢!

网站地图