合作客户/
拜耳公司 |
同济大学 |
联合大学 |
美国保洁 |
美国强生 |
瑞士罗氏 |
相关新闻Info
-
> 滴体积法分析TODGA/HNO3体系萃取La3+过程中界面张力变化影响因素(二)
> 高分子类助剂主要增效机制及在除草剂领域应用机理
> 利用表面张力优化浮选工艺:调整剂AY在石英-胶磷矿分离中的活性调控(二)
> 辽河油田原油的石油酸、石油碱组分萃取过程、结构表征及界面张力测量——结果与讨论、结论
> 一种改进的CSF模型:用于SPH流体仿真的光滑表面张力模拟(一)
> 液滴撞击固体表面过程中黏度与表面张力系数变化(三)
> 表面活性剂溶液的界面扩张流变学
> 不同稠油下油相中芳烃含量、水相pH值对油-水界面张力变化规律
> 电场电压对明胶液滴荷质比、表面张力的影响及预测模型构建(二)
> 影响狭缝间氢键流体气液平衡界面张力的因素有哪些(二)
推荐新闻Info
-
> 表面张力对机械结合面接触载荷、真实接触面积以及接触刚度的影响规律(四)
> 表面张力对机械结合面接触载荷、真实接触面积以及接触刚度的影响规律(三)
> 表面张力对机械结合面接触载荷、真实接触面积以及接触刚度的影响规律(二)
> 表面张力对机械结合面接触载荷、真实接触面积以及接触刚度的影响规律(一)
> 一种改进的CSF模型:用于SPH流体仿真的光滑表面张力模拟(二)
> 一种改进的CSF模型:用于SPH流体仿真的光滑表面张力模拟(一)
> 减弱贾敏效应的方法|表面活性剂改善贾敏效应实验
> 贾敏效应实验方法与步骤、结果
> 贾敏效应机理、影响因素及其在低渗透油藏开发中的危害(一)
> 面向高效环保灭火剂的界面张力最小化:短链氟碳复配体系的设计与解析(四)
人工冲洗升级为超声波清洗,可改善新能源电池冲压配件的表面张力
来源:诺而曼环保科技(江苏)有限公司 浏览 1177 次 发布时间:2024-07-24
随着新能源电池技术的不断发展,对电池性能的要求也日益提高。新能源电池冲压配件作为电池的重要组成部分,其表面的清洁度和张力状态直接影响到电池的整体性能和稳定性。因此,改善新能源电池冲压配件的表面张力,提高清洗工艺的效果,对于提升新能源电池的性能具有重要意义。但是,传统的清洗工艺往往通过人工进行冲洗,只能在一定程度上去除冲压配件表面的油污、灰尘等杂质,难以达到理想的清洗效果,往往不能有效改善冲压配件的表面张力,导致电池性能下降。
怎么解决这个问题?这里提供一个新的思路,具体操作步骤如下:
步骤1、抽样标本数据采集:首先预设定每1000-1000个新能源电池冲压配件为一个生产批次,然后从一个生产批次中随机选取100-1000个冲压配件产品作为检测样本并进行标记;
步骤2、冲压配件的初步清洗:将同一生产批次的冲压配件放入超声波清洗机中,超声波清洗机产生的超声波的高频振动能够产生微小的气泡,这些气泡在液体中爆裂时会产生冲击力,对冲压配件进行初步清洗,去除表面的油污、灰尘和其他杂质;
步骤3、再次去污:将经过S2初步清洗的冲压配件放入事先配置好的清洗液中,采用化学处理方法,进一步去除冲压配件表面的氧化物和残留物;因为在对新能源电池冲压配件进行清洗液去污过程中,使用表面活性剂或界面活性剂,它们可以降低液体表面张力,使液体更容易润湿固体表面,将这些活性剂添加到清洗液中,可以在清洁的同时改善表面张力。
步骤4、高压冲洗:将经过步骤S3清洁处理的冲压配件取出,然后使用高压水流对清洁后的冲压配件进行冲洗,高压冲洗可以去除表面上的顽固污渍和颗粒,进一步提高表面清洁度,同时确保冲压配件上的清洗液和残留物被彻底清除;
步骤5、冲压配件烘干处理:将经过步骤S4冲洗处理的冲压配件放入烘干设备中,使用烘干设备对冲压配件进行烘干,烘干处理可以去除表面的水分,防止水渍和锈蚀的产生,从而保持冲压配件的清洁度和表面张力;在对冲压配件进行烘干过程中,为了避免烘干设备对冲压配件烘干时间过长,热应力对冲压配件表面张力产生影响,通过公式算法将烘干时间设定为:
其中,time为烘干设备持续运行的烘干时长,C为烘干物品在升温过程中所需要的热量,Trep为预设的烘干新能源电池冲压配件所需要达到的温度,Tamb为烘干前的新能源电池冲压配件自身的温度,W为烘干机每秒钟所提供的热量。
步骤6、确认清洗效果:通过达因笔测量冲压配件表面的达因值并对数据进行记录,然后根据采集到的数据配合公式算法,对清洗效果进行分析确认。
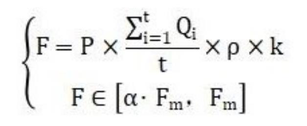
更进一步的,所述S4中,在对冲压配件进行高压冲洗过程中,高压水流冲洗设备的输出功率设置不合理,会导致水流冲击力过高或过低,进而影响冲洗效果,可以通过对高压水流冲洗设备的输出功率的调整,配合公式算法综合得出适宜的高压水流冲洗设备实际水流冲洗的冲击力为:
其中,F为高压水流冲洗设备实际水流冲洗的冲击力,Qi为高压水流冲洗设备第i秒水流的流量,t为高压水流冲洗设备预设的水流冲洗的时长,ρ为水的密度,k为预设定的阈值参数,P为输出功率可调的高压水流冲洗设备的实际输出功率,α为预设的抗压阈值参数且其数值小于1,Fm为新能源电池冲压配件最大抗冲击力值。
此冲压配件的表面张力改善方法,就是通过将同一生产批次的冲压配件放入超声波清洗机中,超声波清洗机产生的超声波的高频振动能够产生微小的气泡,这些气泡在液体中爆裂时会产生冲击力,对冲压配件进行初步清洗。然后,将经过初步清洗的冲压配件放入事先配置好的碳氢清洗液中,进一步去除冲压配件表面的氧化物和残留物。再将经过清洗液清洁处理过的冲压配件取出,并使用高压水流对清洁后的冲压配件进行冲洗,去除表面上的顽固污渍和颗粒,确保冲压配件上的清洗液和残留物被彻底清除。通过多重的清洗流程,有效提升新能源电池冲压配件表面的清洁度,能够达到理想的清洗效果,有效改善新能源电池冲压配件的表面张力。





